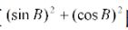
19. 直角三角形 ABC 中,
,求
的值等於
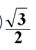
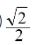
(A)
(B)
(C)
(D)1 。
答案:登入後查看
統計: 尚無統計資料
統計: 尚無統計資料