阿摩線上測驗
登入
首頁
>
程式設計
> 95年 - 095年身心障礙人員資訊處理(四等)#36108
95年 - 095年身心障礙人員資訊處理(四等)#36108
科目:
程式設計 |
年份:
95年 |
選擇題數:
0 |
申論題數:
6
試卷資訊
所屬科目:
程式設計
選擇題 (0)
申論題 (6)
一、⑴比較程式設計反覆結構,WHILE﹍﹍DO 與 REPEAT﹍﹍UNTIL 之差別。(10 分)
⑵ A=1,B=2,僅利用 A, B 兩變數名稱與一般四則運算,寫出一段程式 (不可使 用類似 SWAP 指令),將兩者內含值互換。(10 分)
【已刪除】二、在下列片段虛擬碼中,若參數傳遞使用
⑴ Call-by-Value,⑵ Call-by-Address, ⑶ Call-by-Name,計算執行後,x 與 y 最後值分別為何?(20 分)
三、不限使用語言,設計一程式,雞兔同籠中,輸入雞兔頭數及腳數,輸出雞兔個別數 目。(並輸入 14 個頭、36 隻腳,計算雞兔個別數目)(20 分)
【已刪除】四、下列片段程式執行完畢後,M(3,2)、M(4,2)、SUM1、SUM2 之值為何?(15 分)
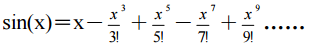
【已刪除】五、利用泰勒(Taylor)級數展開式 三角正弦函數
不限使用語言,設計一程式,輸入角度0
o
~360
o
(必須轉換為弳度),計算其sin值。(25分)