阿摩線上測驗
登入
首頁
>
教甄◆理化專業
> 100年 - 新北市100學年度國中聯合甄選理化試題#23413
100年 - 新北市100學年度國中聯合甄選理化試題#23413
科目:
教甄◆理化專業 |
年份:
100年 |
選擇題數:
50 |
申論題數:
0
試卷資訊
所屬科目:
教甄◆理化專業
選擇題 (50)
1. 以 v
1
等速度走s的距離,再以v
2
等速度走s的距離。平均速度為何?
2. 物體以等加速度 a運動,從 0 到t
1
與t
1
到(t
1
+t
2
) 都走了相同的距離s。加速度為
3. 物體以等加速 a 從靜止開始加速,再以等減速度 b 減速直至靜止。總距離為 s ,則總時間為
4. 一個物體在一個高度為 h 平滑的斜坡靜止時下滑,斜坡角度為 θ 。滑下斜坡的時間為何?
5. 一條彈簧鉛直地掛起來, k 為彈簧常數。現以未伸展長度處為原點, x 向下為正。該系統的總位能為
6. 一個擺長為 l 的單擺,θ為偏離垂直線的角度。單擺的張力大小為
7. 升降機以 v 的等速度向上移動,機內的重力加速度為 (A) 0 (B) g (C) g + vt (D) g - vt
8. 一個物體靜止時爆裂成二塊,質量分別為 m 和 M 。若爆裂後 m 的速度為 v ,則爆裂釋放出的能量為
9. 物體 m1 在二維平面上碰撞另一靜止不動的 m
2
。碰撞後兩物體分開的夾角 > 90
o
。若碰撞是彈性的,則 (A) m1 = m2 (B) m1 > m2 (C) m1 < m2 (D)不確定
10. 等質量的水,熱容各為 C ,開始時溫度分別為 T1 、T2 ,混合後達到平衡態。熵的改變為何?
11. 20 公克的冰,初始溫度為 0
o
C,放進一個容器,盛有 100 公克的水初始溫度為 40
o
C。冰的潛熱為 80cal/
o
C, 容器的熱容可以被忽視下,最後的溫度為 (A) 5℃ (B) 10℃ (C) 15℃ (D) 20℃
12. 聲波源以 v
S
速度在接近觀察者,觀察者不動,而在空氣中聲波的波速為 v ,原頻率為 f ,則新頻率為
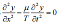
13. 繩波的方程式為
,其中 μ 為線性密度, T 為張力。波速為
14. 聲波在空氣中的速率 v
s
與絕對溫度 T 的關係為 v
s
。若我們將公式近似為 v
s
= v
0
(1+αt) ,其中 v
0
為 0℃ 時的聲速,而 t℃ 為攝氏溫度。 α 的值為 (A) 1.8 ×10
-2
/ ℃(B) 3.6× 10
-2
/ ℃ (C) 1.8× 10
-3
/ ℃ (D) 3.6 ×10
-3
/ ℃
15. 聲音可以儲存為數位檔,以下那一個是聲音檔的規格? (A).pdf (B).wav (C).jpg (D).txt
16. 光線從桿狀的塑膠棒末端入射,空氣中的入射角為 i ,棒內相對的折射角為 r 。光線在棒內前進,以入射 角 (90° - r) 碰觸棒子的邊緣界面,入射角的大小決定全反射的發生與否。換一個觀點來考量,我們可想 像塑膠的折射率 n 為變數,若入射角 i 為 90° ,而 n 恰好令折射角 r 為45° ,則光線剛好對稱地以 45° 從 塑膠折射到空氣。這時 n 的值為 (A) √ 2 (B) √ 3 (C) 2 (D) 3
17. 蔚藍的天空和紅色的夕陽所涉及的基本物理為 (A)反射 (B)折射 (C)繞射 (D)
瑞利
散射
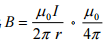
18. 根據 M.K.S.單位庫倫力可寫成
,其中
。計算電子與質子在距離為 5.3×10
-11
m的吸引力,電子的電荷為1.6×10
-19
C
(A)8×10
-9
N(B)8×10
-8
N(C)8×10
-7
N(D)8×10
-6
N
19. 若庫倫力不是與距離平方成反比,以下那一個定律要修改? (A)高斯定律 (B)安培定律 (C)法拉地定律 (D)冷次定律
20. 電偶極的電位在同一角度與距離的關係為何? (A)與距離平方成正比 (B)與距離成反比 (C)與距離平方成反比 (D)與距離三次方成反比
21. 兩大小相同的電荷 e 在長度為 2l 的兩端,整個系統以角速度 繞直線中點轉動,這時的電流為 (A) eω (B) 2eω (C) eω/ 2π (D) eω /π
22. 載電流 I 長直導線在距離為 r 的磁場大小為
的值為 10
- 7
Tm/A,若 B 為 2× 10
-5
T,r 為 10
-2
m,電流 I 為 (A) 0.1 A (B) 0.5 A (C) 1 A (D) 2 A
23. 光波的都卜勒公式應只與相對速度有關。若光速為 c ,相對接近的速度為 u A ,公式為
24. 以現在的知識那一個算是基本粒子? (A)中子 (B)u 夸克 (C) π 介子 (D)氫原子
25. 2010 年諾貝爾物理獎的研究主題是 (A)高溫超導 (B)超流體 (C)半導體 (D)石墨烯
26. 一氧化還原反應經平衡後如下:
a
Fe
2+
+ MnO
4
-
+
b
H
+
→
c
Fe
3+
+ Mn
2+
+
d
H
2
O 則下列何者正確? (A) a = 5 (B)b = 6 (C) c = 4 (D) d = 2
27. 某離子化合物其焰色為黃色,遇 AgNO
3
產生白色沉澱,則此化合物可能為下列何者? (A) MgCl
2
(B)BaCl
2
(C) NaCl (D) CaBr
2
28. 俗稱的胃散可用於抑制胃酸過多或減緩腹瀉症狀,以下哪個鹽類不可能會出現在胃散中? (A) NaHCO
3
(B)Al(OH)
3
(C) Mg(OH)
2
(D) NH
4
Cl
29. 下列何者為改變平衡常數的因素? (A) 溫度 (B)壓力 (C) 濃度 (D) 催化劑
30. 下列何種分子不具極性? (A) O
3
(B)CO
2
(C) H
2
O
2
(D) NH
3
31. 原子中的基本粒子,不包括下列哪種粒子? (A) α粒子 (B)β粒子 (C) 質子 (D) 電子
32. 已知原子軌域順序為s, p, d, f, g, h, i…。若有一新發現元素含有i軌域,則此i軌域最多可包含多少個電子? (A) 22 (B)26 (C) 28 (D) 30
33. 將等電子數之物種, K
+
、Ca
2+
、Cl
–
,依半徑增加之順序排列,下列何者正確? (A) K
+
< Ca
2+
< Cl
–
(BCl
–
< K
+
< Ca
2+
(C) Ca
2+
< K
+
< Cl
–
(D)Cl
–
< Ca
2+
< K
+
q
)
34. HPO
4
2-
的共軛酸為何? (A) H
3
O
+
(aq)
(B)PO
4
3–
(aq)
(C) H
2
PO
4
–
(aq)
(D) H
3
PO
4(aq)
35. 為了確定肥料中硫酸銨的含量,一化學家將 2.75 g 之肥料溶於 100 mL 的水中,並加入硝酸鋇溶液。此時 有白色固體產生,不斷加入硝酸鋇溶液直到沒有更多的沉澱生成。過濾此白色沉澱,乾燥後稱重得 1.90 g, 則此肥料中,硫酸銨之重量百分比為何?(Ba:137, S:32) (A) 95% (B)78% (C) 41% (D) 39%
36. 下圖是一個純物質加熱時的溫度曲線。 下列何者和此物質熔融所需的熱量有關?
(A) AB 的長度 (B)AB 之斜率 (C) BC 的長度 (D) CD 之斜率
37. 根據下面之相圖,什麼相可存在於壓力低於三相點之壓力?
(A) 只有固體和氣體 (B)只有氣體 (C) 只有液體 (D) 只有固體和液體
38. 下列 N
2
O 的共振式中,那個結構的貢獻最大(最穩定)?
39. 根據下圖溶解度曲線,在 60℃將含 20 mL 溶劑之的飽和溶液,冷卻到 0℃,可析出溶質多少克?
(A) 7.2 (B)12 (C) 25 (D) 36
40. 下列的有機分子具有多少種立體異構物(stereoisomers)?
(A) 3 (B) 2 (C) 1 (D) 0
41. 下列的有機分子具有哪些官能基?
(A) 酮基和酯基 (B)醛基和酯基 (C) 酮基和羧酸基 (D) 醛基和羧酸基
42. 下列關於硝酸的路易士結構,何者正確?
(A) 只有 a (B)只有 b (C) 只有 c (D) 只有 b 與 c
43. 下列哪一組為丙酸乙酯和氨反應可得到的主要產物?
44. 將 800 mL 甲醇(CH
3
OH,密度為 0.80g∕mL)和 500mL 水混合,所得甲醇溶液的濃度為 16.0M,則甲醇 和水混合前後總體積相差若干 mL? (A) 100 (B)0 (C) 300 (D) 50
45 . 請問下列烯類分子的 IUPAC 命名為何?
(A) 反-2-丁烯 (B)1-甲基-1-丙烯 (C) 3-甲基-1-丙烯 (D) 1-丁烯
46. 苯為一環狀的不飽和烴類化合物,已知碳原子-碳原子間的距離:乙烷為 1.54 Å, 乙烯為 1.33 Å, 乙炔為 1.20 Å。請問下列關於苯分子內碳原子-碳原子間距離的描述,何者正確? (A)碳原子-碳原子間的距離均相同,長度小於 1.20 Å (B)碳原子-碳原子間的距離均相同,長度大於 1.54 Å (C)碳原子-碳原子間的距離有長短不同,長者約與乙烷相近,短者約與乙烯相近 (D)碳原子-碳原子間的距離均相同,長度介於 1.33 Å 及 1.54 Å 之間
47. 下列三種分子的酸強度(解離常數)的大小的順序排列,何者正確? 甲 : FCH
2
COOH ;乙 : F
3
CCOOH ;丙 : CH
3
COOH (A) 甲 > 乙 > 丙 (B)乙 > 甲 > 丙 (C) 甲 > 丙 > 乙 (D) 丙 > 甲 > 乙
48. 下圖為利用揮發重量分析法,測定樣品中碳酸氫鈉含量的儀器裝置。 請問 CaSO
4
的作用為吸收下列哪一種物質?
(A) N
2
(B)H
2
O (C) CO
2
(D) SO
2
49. 氟氯烷(Freon),是破壞臭氧層的物質。這一類的化合物訂有英文代碼(CFC-xyz),來代表其分子結構。x, y, z 分別與該分子中某原子的數目相關;若 x=0,則 CFC-xyz 簡化成 CFC-yz。請問下列何者為正確的命名規 則?(已知 CFC-12:CF
2
Cl
2
,CFC-113:C
2
F
3
Cl
3
) (A)x = 碳原子的個數,y = 氫原子的個數,z = 氟原子的個數 (B)x = 碳原子的個數減1,y = 氫原子的個數,z = 氟原子的個數 (C)x = 碳原子的個數減1,y = 氫原子的個數加1,z = 氟原子的個數 (D)x = 碳原子的個數減1,y = 氫原子的個數,z = 氟原子的個數加1
50. 下圖為使用 0.100 M HCl 滴定 50.0 mL 0.100 M 鹼類(分別為 A, B, C, D, E, F 等 6 種鹼)的滴定曲線。 下列何者可能為酚酞指示劑?
(A) 指示劑 a (B)指示劑 b (C) 指示劑 c (D) 指示劑 d
申論題 (0)
相關試卷
114年 - 114 高雄市市立國民中學教師聯合甄選:理化#129022
114年 · #129022
114年 - 114-2 新竹市國民中學教師聯合甄選初試試題:理化科#128192
114年 · #128192
114年 - 114 臺南市市立國民中學_正式教師聯合甄選試題:理化專門科目#128068
114年 · #128068
114年 - 114 桃園市國民中學新進教師聯合甄選試題:理化科#127855
114年 · #127855
114年 - 114 臺北市市立國民中學_正式教師聯合甄選試題:理化科#127441
114年 · #127441
114年 - 114 新北市立國民中學_教師聯合甄選試題:資優理化科#127356
114年 · #127356
114年 - 114 新北市立國民中學_教師聯合甄選試題:理化科#127217
114年 · #127217
114年 - 114 國立嘉科實驗高級中學_國中部教師甄選試題:理化科#126863
114年 · #126863
114年 - 114-1 新竹市立建功高中正式教師甄選試題:國中理化#126098
114年 · #126098
113年 - 113 臺南市市立國民中學_正式教師聯合甄選試題:理化專門科目#120957
113年 · #120957