阿摩線上測驗
登入
首頁
>
物理化學(包括化工熱力學)
> 100年 - 100 公務升官等考試_薦任_化學工程:物理化學(包括化工熱力學)#27378
100年 - 100 公務升官等考試_薦任_化學工程:物理化學(包括化工熱力學)#27378
科目:
物理化學(包括化工熱力學) |
年份:
100年 |
選擇題數:
0 |
申論題數:
9
試卷資訊
所屬科目:
物理化學(包括化工熱力學)
選擇題 (0)
申論題 (9)
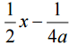
【已刪除】⑴波恩(Born)對 Ψ 的物理意義的解釋:粒子在某一位置上出現的機率,與那個位置上 | Ψ |
2
的值成正比。因為總機率等於 1,所以當
| Ψ |
2
dx =1時,稱為標準化的波函數 Ψ。藉由位能井所決定的邊界條件,以及積分公式 ∫ sin
2
axdx=
sin2 ax+C, 求標準化後之特殊解 Ψ。
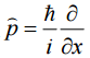
【已刪除】⑵已知動量的運算因子是
,利用標準化的波函數,求動量的期待值
,並 說明所得到的值的物理意義。(三角恆等式 A = Acossin22sin A)
【已刪除】二、假設化學反應的莫耳活化能為E
a
,化合物分子的能量ε ,當Nav > Ea ε 時(Nav為亞 佛加德羅常數),化合物才會發生反應。波茲曼分布(Boltzmann distribution)描述 分子能量的分布現象,其數學關係為
,能階 ε
i
的分子數量為n
i
,N 為 總分子數,k 為波茲曼常數。依據波茲曼分布的關係,推導化學反應速率常數 k 與 溫度 T 的關係,所謂阿雷尼斯定律(Arrhenius law):
= Ae
−Ea/RT
,並說明其物理意 義。(20 分)
⑴根據熱焓 H = U + PV 與自由能 G = H – TS 的定義,推導dG = − T +VdpSd 。
【已刪除】⑵已知熱焓可以表示成溫度與壓力的函數,也就是 H = H(T, P)。當系統壓力與外界 壓力相等時,定義系統在定壓下的熱容量為 C
P
=
,證明 C
P
=
。
【已刪除】⑶如果系統是理想氣體,證明 dS=
。
四、2 莫耳的理想氣體,C
p, m
= 29.1 J K
-1
mol
-1
,溫度 57℃,壓力 5 bar,經由等溫、不 可逆的膨脹。體積變化的過程中,外界壓力為恆壓pexternal = 1 bar,外界溫度與系統 差 10℃,也就是說 |T−T
surrounding
|=10℃。系統最後壓力為 1 bar,計算此一變化過程 的q,w,系統內能、熱焓與熵的變化量Δ 、ΔH 與ΔS ,外界環境的 SΔ
surrounding
,以 及整個全體的ΔS
total
。(20 分)
⑴計算溫度為 1280 K 時的反應平衡常數。
⑵計算當反應平衡常數開始大於 1 時的溫度。
相關試卷
115年 - 115 關務特種考試_三等_化學工程(選試英文):物理化學(包括化工熱力學)#138975
115年 · #138975
114年 - 114 地方政府公務特種考試_三等_化學工程:物理化學(包括化工熱力學、動力學)#134774
114年 · #134774
114年 - 114 公務升官等考試_薦任_化學工程:物理化學(包括化工熱力學)#133274
114年 · #133274
114年 - 114 高等考試_三級_化學工程:物理化學(包括化工熱力學、動力學)#128789
114年 · #128789
114年 - 114 關務特種考試_三等_化學工程(選試英文):物理化學(包括化工熱力學)#126667
114年 · #126667
113年 - 113 地方政府公務特種考試_三等_化學工程:物理化學(包括化工熱力學、動力學)#124506
113年 · #124506
113年 - 113 高等考試_三級_化學工程:物理化學(包括化工熱力學、動力學)#121504
113年 · #121504
113年 - 113 關務特種考試_三等_化學工程(選試英文):物理化學(包括化工熱力學)#119514
113年 · #119514
112年 - 112 地方政府特種考試_三等_化學工程:物理化學(包括化工熱力學)#118352
112年 · #118352
112年 - 112 公務升官等考試_薦任_化學工程:物理化學(包括化工熱力學)#117313
112年 · #117313