阿摩線上測驗
登入
首頁
>
研究所、轉學考(插大)-微積分
> 100年 - 100 淡江大學 轉學考 機率與微積分#55936
100年 - 100 淡江大學 轉學考 機率與微積分#55936
科目:
研究所、轉學考(插大)-微積分 |
年份:
100年 |
選擇題數:
0 |
申論題數:
6
試卷資訊
所屬科目:
研究所、轉學考(插大)-微積分
選擇題 (0)
申論題 (6)
1.(1) Please explain the relationship between ”Probability Theory'1 and "Statistical Inferences,’(e.g. estimation,tests,and confidence intervals).
(2) Please explain the relationship among the concepts of limits,continuity, differentiation, and integration. You can use examples for demonstration in your explanation.
2. If the random variable X is the outcome of throwing a fair dice,then the sample space of X is { 1, 2,3, 4,5, 6}. Please use
Riemann-Stieltjes integral
to calculate the expectation and variance of X, that is,E[X] andVar[X].
【已刪除】3. Please find the density function of the new random variable W= | X |,where X is a random variable following the t distribution with n degrees of freedom,and has the following density function :
Hint: Γ(m) is the gamma function
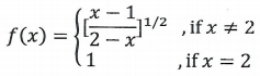
【已刪除】4. Discuss the continuity of the following function, and indicate the points of discontinuity(if any):
5. Find the Taylor's expansion of the function f(x) = log(l + x) at x = 0. Please show at least the first four terms of the Taylor’s expansion.
相關試卷
114年 - 114 臺灣綜合大學系統_學士班轉學生考試試題:微積分A#137897
114年 · #137897
114年 - 114 臺灣綜合大學系統_學士班轉學生考試試題:微積分B#137819
114年 · #137819
114年 - 114 台灣聯合大學系統_學士班轉學生考試試題:微積分#137762
114年 · #137762
114年 - 114 台灣聯合大學系統_學士班轉學生考試試題:微積分#137761
114年 · #137761
114年 - 114 國立臺灣大學_轉學生招生考試_物理學系/土木工程學系/生物環境系統工程學系/生物機電工程學系:微積分(B)#137745
114年 · #137745
114年 - 114 國立臺灣大學_轉學生招生考試_數學系:微積分(A)#137744
114年 · #137744
113年 - 113 國立嘉義大學_轉學生招生考試試題_(全校):微積分#122986
113年 · #122986
112年 - 112 國立臺灣大學_碩士班招生考試題:微積分(D)#130254
112年 · #130254
112年 - 112 國立陽明交通大學_碩士班入學招生試題_統計學研究所﹕微積分與線性代數#130252
112年 · #130252
112年 - 112 國立嘉義大學_轉學生招生考試試題:微積分#123297
112年 · #123297