阿摩線上測驗
登入
首頁
>
國營事業◆1.應用力學 2.材料力學
> 100年 - 100 經濟部所屬事業機構_新進職員甄試_土木、機械:1.應用力學 2.材料力學#36008
100年 - 100 經濟部所屬事業機構_新進職員甄試_土木、機械:1.應用力學 2.材料力學#36008
科目:
國營事業◆1.應用力學 2.材料力學 |
年份:
100年 |
選擇題數:
60 |
申論題數:
0
試卷資訊
所屬科目:
國營事業◆1.應用力學 2.材料力學
選擇題 (60)
1。如右圖所示吊繩,AD呈水平,滑輪B無摩擦,若平衡而維持靜止不動,則物塊C的質量為 多少kg? (A) 20 (B) 10(C)5(D)1
2• 求OA桿內力為多少牛頓?(A) 500 (B) 1000 (C)5 (D)0
3.承上題OB桿的内力為多少牛頓? (A) 200(B) 1000 (C)10 (D)0
4。如右圖所示之桁架,AC桿之內力為多少Ib? (A) 2500 壓力 (B) 2000 拉力 (C) 2500 拉力 (D) 1200 壓力
5•如右圖之構件,構件承載重量10KN之方塊物體, 物體以繩子與C點相連並連至B點。試求A插梢作 用於AC構件之力為多少KN? (A) 12.5 (B) 7.5 (C) 9.5 (D) 5.3
6。如右圖之木塊置於水平地面上。若P=100N,,α=60度,木塊質量100 kg 且木塊靜止不動,請問木塊與地面之靜摩擦係數μ至少需要多少? (A) 0,44 (B) 0.96 (C) 0.53 (D) 0.093
7.如右圖之鐵門,若Q = 20 lb,請問維持平衡所需力量P為多少lb? (A) 10 (B) 200 (C)30 (D) 40
8»下列何者正確? (A)兩物體於滑動或滾動時產生之摩擦力稱為靜摩擦力 (B)兩物體間互相接觸但沒有滑動或滾動現象,此時產生之摩擦力稱為靜摩擦力 (C)摩擦係數愈大,摩擦角愈小 (D)摩擦圓錐之大小與摩擦係數無關
9。如右圖三角形,C為形心,對X軸之慣性矩為 (A) bh
2
/36 (B) bh
3
/12 (C) bh/2 (D) bh
3
/36
10.如右圖直角三角形,形心C之
分別為 (A)b/3及h/3 (B)b/2及 h/3 (C)b/3及h/2 (D)b/2及h/2
11。一個質點系統中,有n個質點,且各個質點間有m個等式的約束方程式存在,則此質點系統 的自由度數目為 (A) 3 n-m (B) 6 n-m (C) 6 n (D) 3 n
12,在空間中若有2個力,此2個力之大小相等、方向相反、互相平行且不在同一作用線上,則 此對力稱為 (A)平衡 (B)抵消 (C)力偶 (D)滑動力
13.右邊三個圖中之圓球,何種屬於不穩定平衡狀態 (A)a (B)b (C)c (D)a及c
14F = ma,F為力量大小,m為質量,a為加速度,此為牛頓第幾運動定律? (A)第一運動定律 (B)第二運動定律 (C)第三運動定律(D)第0運動定律
。B物塊的速度為1 m/s 向下,加速度為1 m/s
2
向下。請問C物塊的速度為何? (A) 4 m/s 向下 (B) 3 m/s 向上 (C) 1 m/s 向上 (D) 2 m/s 向下
16。承上題,請問C物塊的加速度為何? (A) 5 m/s
2
,向下 (B) 4 m/s
2
,向下 (C) 1 m/s
2
,向下 (D) 2m/s
2
,向上 面
,請問B的速度為多少m/s? (A) 6,向右 (B) 4,向左(C)1,向左 (D)2,向右
18.承上題,請問C的運動執跡為何? (A)橢圓 (B)正圓形 (C)四方形 (D)三角形
19.如右圖所示,若P=100N的力量施加於A物體上(不考慮摩擦),A的質量為2kg, 則A所產生的加速度為多少m/s
2
?
(A) 12(B) 86(C)25(D) 43
20。兩個質點在完全彈性撞擊的情況中,兩個質點的總能量以及總動量是 (A)不滅的 (B)減少的 (C)增加的 (D)總能量不滅,總動量減少
21對轴向長度為L之桿件,有一轴向載重P施加於等截面A的桿上,產生變形量δ。則應力 σ= P/A及應變
= δ/L 下列何者為此二公式成立的條件之一? (A)材料必須是鐵材質才可以 (B)材料須均質 (C)軸向負載可以任意,不必通過形心 (D)桿件變形不必均勻
22拉力試驗之應力一應變關係圖中,若利用偏位法取得偏位降伏應力(offset yield stress),則應取應變值的多少%來晝偏位線? (A) 0.2 (B) 0.02 (C)2 (D) 5
23。一等截面之桿,受軸向力後,横方向應變與轴方向應變之比值,稱為 (A)應變比 (B)虎克定律 (C)彈性模數 (D)蒲松比
24。若G為剪力彈性模數,彈性模數為E,v為蒲松比,三者之關係為何? (A)G = E/ (2+v) (B) G = E / (1+v) (C) G = E / [2(1+v)] (D) G = 2E/(1+v)
25•在延性材料之設計上,容許應力(allowable stress)或工作應力(working stress)等於 (A)降伏應力/安全因數(B)降伏應力/蒲松比 (C)極限應力/安全因數(D)斷裂應力/蒲松比
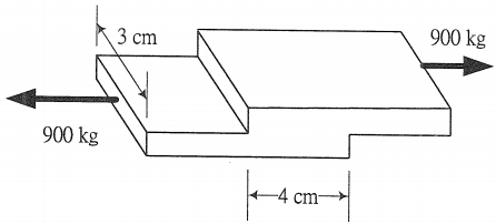
26,如右圖所示,一承受900 kg力之軟鋼方塊,假設其剪力彈性模數G = 0.84X10
6
kg/cm
2
,請問 其所受剪應力為多少kg/cm
2
? (A) 30 (B) 20 (C) 25 (D) 75
27 —直徑為100 mm之圓軸,受扭矩10000 N-m作用,試問產生之最大剪應力為多少N/mm
2
? (A) 203 (B) 50.9 (C) 100.5 (D) 40.6
28—實心圓轴僅承受一扭矩時’則下列何者正確: (A)實心轴中之剪應力在剖面之外表面達到最大值 (B)實心軸中之剪應力在剖面之外表面達到最小值 (C)實心轴中之剪應力在圓心時達到最大值 (D)實心軸中之剪應力在剖面任何地方都很平均
29。下列何者正確: (A)承受純彎曲之樑,其剪力最大處在中心 (B)承受純彎曲之樑,其剪力最大處在上表面 (C)承受純彎曲之樑,其剪力不存在 (D)承受純彎曲之樑,其剪力最大處在下表面
,BC為懸出部分,其上受一均佈負 載,請問其彎曲力矩分布圖為下列何者?.
31承上題,其剪力分布圖為下列何者
複選題
32•下列何者正碟:(一律給分) (A)剪應力大,則體積會變大 (B)剪應力小,則體積會變小 (C)剪應力大,則體積會變小 (D)剪應力對體積不產生變化
33•依薄殼理論在圓柱型壓力容器的應力分佈上,縱向應力(軸向應力)為周向應力的 (A)2 (B) 1/3 (C) 1/2 (D) 1/4
34。考慮平面應力狀況時,則X轴方向的應變
X為下列何者? (註:E為彈性模數,(σ
X
為X軸應力,(σ
Y
為Y轴應力,v為蒲松比) (A) (σx— vσy) / E (B) (σ
y
一 vσ
x
) / E (C) (σ
x
+ σ
Y
)/ E (D) ( σ
x
— σ
y
)/ E
35.依薄殼理論球形壓力容器,内壓為p,半徑為r,厚度為t,則球外表面最大主應力為 (A)2pr/t (B)p / r (C)pr / t (D)pr / (2t)
36•依薄殼理論對圓柱形壓力容器,p為内壓,半徑為r,厚度為t時,則在殼外表面的最大主應 力為 (A)pr/t (B)pr/ (2t) (C)pr/ (4t) (D)p
37•當一懸臂樑,若同時受有純彎曲之力矩及扭轉力矩時,進行組合應力分析時,應考量何種力 量所產生應力之組合 (A)彎曲力及扭轉力 (B)剪力及扭轉力 (C)軸向力及彎曲力 (D)剪力及軸向力
38•如右圖所示鉸接之支承柱,若柱受一軸向負荷時’其最小臨界負載為何? (A)πEI / L (B) El / (PL) (C)π
2
EI / L
2
(D) El / (2PL)
39•如右圖鋼質柱其細長比約大於多少以上,則該柱的破壞主要係由挫屈(buckling)造成? (A) 10 (B) 20 (C) 30 (D) 120
40.針對柱的抗挫屈而言,通常空心剖面較實心剖面經濟,主要是因為下列何者? (A)裡面可以裝流體 (B)乃因為相同剖面面積時,空心剖面其慣性矩I較大 (C)較美觀 (D)為了共鳴作用
41•一細長均質桿斜靠在光滑牆面上,與地面夾角為0,桿與地面間之靜摩擦係數為μ, 若想保持靜止平衡,試問μ至少要大於多少才夠? (A) tan (θ / 2) (B) tan θ (C) 0.5 (D) 1 / (2 tan θ)
42。如右圖之鐵質輪子,質量100 kg,直徑1000 mm,受一力偶M作用而想要越過台階 度100 mm,請問輪子與台階間的摩擦係數至少要多少才夠? (A) 0.4 (B) 03 (C) 0.75 (D) 0.5
43.如右圖所示之細桿,0點為鉸鍊,細桿重量為W,於B點承受一向右之 水平作用力P。當其平衡時,θ與W和P之關係為何? (A)Cosθ=W/P (B) Sinθ=W/P (C) tanθ=W/(2P) (D) tanθ=W/P
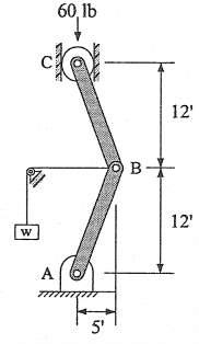
44如右圖之構架,上面施力為60 lb,請問維持平衡時所需要的W重為 多少lb? (A) 50 (B) 25 (C)5 (D) 10
45.假設繩索 與盤子間沒有滑動,若以T的大小為200N,向上拉著繩索,請問圓盤中 心的加速度為多少m/s
2
? (A) 450,向上 (B)0.19,向下 (C) 0.50,向下 (D) 0.19,向上
46。承上題,請問圓盤的角加速度為多少rad/s
2
? (A) 15 (B) 20 (C) 80 (D) 100
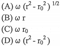
以ω的等速率在水平面 上轉動。若B在r =.r
0
的位置處鬆開, 請問B沿著OA方向的速度分量V
r
為多少?
48。承上題,臂桿OA施加在B的水平力量為何 ?
並令他們在靜止的A處放鬆讓其自由滾下 試求出在該圓筒滾到B處時(即中心下降h高度後)之速度為何?(註:g為重力加速度) (A)0.314(2gh) (B) 0.816 (2gh)
1/2
(C) 0.845 (2gh)
1/2
(D) 0.707 (2gh)
1/2
50與上題相同情形,但圓筒改為圓環時,滾到B處時之速度為何? (A) 0314 (2gh) (B) 0.816 (2gh)
1/2
(C) 0.845 (2gh)
1/2
(D) 0.707 (2gh)
1/2
中間受一向下之P力。此結構屬於 (A)靜定結構 (B)動力結構 (C)靜不定結構 (D)虎克結構
52.承上題,若桿件截面積為A,彈性模數為E,則C點的位移為 (A)EP/A (B) (Pab)/(EAL) (C)Pb/EA (D) Pa/EA
求因P力作用下,在 鋼圓柱中所承受的轴向力量為多少?註:As為鋼的截面積5 Ac為銅的截面積,Es為鋼的彈 性模數,Ec為銅的彈性模數。 p (A) P/2 (B)PAs/(As+Ac) (C) PEs/(Es + Ec) (D) P Es As / (Es As + Ec Ac )
54.承上題,在銅圓柱+所承受的轴向力量為多少? (A)P/2 (B)PAs/(As + Ac) (C) P Ec Ac / ( Es As + EcAc ) (D)PEc/(Es + Ec)
55.承上題,鋼圓柱的壓應變為多少? (A)P/( Es As + EcAc) (B) P L / ( Es As + Ec Ac ) (C) P Ec Ac / ( Es As + Ec Ac ) (D)P/EsAs
56,—空心圓轴設計以1.75 Hz轉速來傳遞120kW。轴內徑為外徑的一半。若容許剪應力為45 MPa,試求所需之最小外徑d約為多少mm? .. (A) 50 (B) 40 (C)110 (D) 200
57。一受扭矩T作用之實心圓軸,其直徑d及轴表面之最大正向應變
(與軸線成45°)已被量得 。請以T、d及€來表示剪力彈性模數G之公式 (A)8T/(πd
3
€) (B) 16T/(πd
3
) (C) 8 T/( πd
3
) (D)4T/( πd
3
€)
58.如圖之簡支樑,其上受一均佈負載1000 lb/ft(樑本身之重量忽略不計),兩支撐點之距離為 6ft,此樑之斷面為矩形,寬為8 in,高為10 In °求最大剪應力? (A)30.2 psi (B) 60.4 psi (C) 56.3 psi (D) 102.6 psi
59.如圖示。請問最大主應力值為多少? (A) 50 MPa (B) 40 MPa (C). 500 MPa (D) 110 MPa
60.承上題,請問最大剪應力為多少? (A) 90 MPa (B) 43 MPa (C) 20 MPa (D) 10 MPa
申論題 (0)
相關試卷
114年 - 114 經濟部所屬事業機構_新進職員甄試試題_土木、機械:1 .應用力學 2 .材料力學#136984
114年 · #136984
113年 - 113 經濟部所屬事業機構_新進職員甄試_土木、機械:1.應用力學 2.材料力學#125720
113年 · #125720
112年 - 112 經濟部所屬事業機構_新進職員甄試_土木、機械:1.應用力學 2.材料力學#116964
112年 · #116964
111年 - 111 經濟部所屬事業機構_新進職員甄試_土木、機械:1.應用力學 2.材料力學#111360
111年 · #111360
110年 - 110 經濟部所屬事業機構_新進職員甄試_土木、機械:1.應用力學 2.材料力學#103676
110年 · #103676
109年 - 109 經濟部所屬事業機構_新進職員甄試_土木、機械:1.應用力學 2.材料力學#92866
109年 · #92866
108年 - 108 經濟部所屬事業機構_新進職員甄試_土木、機械:1.應用力學 2.材料力學#80809
108年 · #80809
107年 - 107 經濟部所屬事業機構_新進職員甄試_土木、機械:1.應用力學 2.材料力學#76260
107年 · #76260
106年 - 106 經濟部所屬事業機構_新進職員甄試_土木、機械:1.應用力學 2.材料力學(重複)#81162
106年 · #81162
106年 - 106 經濟部所屬事業機構_新進職員甄試_土木、機械:1.應用力學#71725
106年 · #71725