阿摩線上測驗
登入
首頁
>
鋼筋混凝土學與設計
> 100年 - 100 鐵路特種考試_高員三級_土木工程:鋼筋混凝土學與設計#33932
100年 - 100 鐵路特種考試_高員三級_土木工程:鋼筋混凝土學與設計#33932
科目:
鋼筋混凝土學與設計 |
年份:
100年 |
選擇題數:
0 |
申論題數:
4
試卷資訊
所屬科目:
鋼筋混凝土學與設計
選擇題 (0)
申論題 (4)
【已刪除】一、如圖所示,梁B可視為簡支梁,梁寬b
w
=50cm ,梁深 h= 65cm ,梁跨度e = 800cm ,版厚h
f
= 10cm。除自重外,樓板額外承受均布靜載重 2.5 tf/m
2
及活載重 4.0 tf/m
2
;試以 T型梁設計,箍筋為D13,求梁B所需撓曲鋼筋量及排列鋼筋(限用D36 鋼筋排列 ),且須依規範規定作必要之檢核。(25 分)
【已刪除】二、有一矩形斷面之鋼筋混凝土簡支梁如圖所示,梁跨度 e=800cm,鋼筋配置如圖所示, 承受均布載重w
u
=10.0 tf/m之作用,在梁軸還承受N
u
=40tf 之設計軸拉力,假設混 凝土之剪力強度Vc 依考量軸拉力方式計算,試設計此梁在支承處之剪力鋼筋間距?( 25 分)
【已刪除】三、有一矩形斷面之鋼筋混凝土簡支梁如圖所示,鋼筋配置如圖所示,承受均布載重之作 用,中央點斷面於拉力側採用4-D25 主筋,依規範之規定,此鋼筋應至少深入支承面 距離 a 為何?若僅考量鋼筋之伸展(以詳細公式計算),則此梁跨度e之至少長度為何?(25 分)
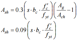
【已刪除】四、規範對於「構架內承受撓曲與軸向載重之構材」之耐震設計:要求橫向鋼筋量除了 須滿足剪力強度要求外,尚須不得小於下列兩式之計算。試問如圖所示之柱斷面橫 向鋼筋之間距是否能滿足規範要求?(25 分)
相關試卷
114年 - 114 地方政府公務、離島地區公務特種考試_三等_土木工程:鋼筋混凝土學與設計#134753
114年 · #134753
114年 - 114 高等考試_三級_土木工程:鋼筋混凝土學與設計#128726
114年 · #128726
113年 - 113-2 國營臺灣鐵路股份有限公司_從業人員甄試試題_第9階-技術員-土木工程:鋼筋混凝土學與設計概要#137156
113年 · #137156
113年 - 113 國營臺灣鐵路股份有限公司_從業人員甄試_第8階-助理工程師-土木工程:鋼筋混凝土學與設計#137104
113年 · #137104
113年 - 113-2 國營臺灣鐵路股份有限公司_從業人員甄試_第8階-助理工程師-土木工程:鋼筋混凝土學與設計#137090
113年 · #137090
113年 - 113-2 國營臺灣鐵路股份有限公司_從業人員甄試_第 9 階-技術員-土木工程:鋼筋混凝土學與設計概要#135450
113年 · #135450
113年 - 113 地方政府公務、離島地區公務特種考試_三等_土木工程:鋼筋混凝土學與設計#124342
113年 · #124342
113年 - 113 高等考試_三級_土木工程:鋼筋混凝土學與設計#121483
113年 · #121483
113年 - 113 國營臺灣鐵路股份有限公司_從業人員甄試_第 9 階-技術員-土木工程:鋼筋混凝土學與設計概要#119089
113年 · #119089
112年 - 112 地方政府特種考試_三等_土木工程:鋼筋混凝土學與設計#118382
112年 · #118382