阿摩線上測驗
登入
首頁
>
工程力學(包括流體力學與材料力學)
> 100年 - 100 高等考試_三級_土木工程、結構工程:工程力學(包括流體力學與材料力學)#27077
100年 - 100 高等考試_三級_土木工程、結構工程:工程力學(包括流體力學與材料力學)#27077
科目:
工程力學(包括流體力學與材料力學) |
年份:
100年 |
選擇題數:
0 |
申論題數:
5
試卷資訊
所屬科目:
工程力學(包括流體力學與材料力學)
選擇題 (0)
申論題 (5)
【已刪除】一、一個做平面運動之質點其位置向量為
(粗體表向量;i, j分別為 x, y軸 之單位向量;
t
之單位為秒)。試問當時間
t
為兩秒時,該質點之徑向(radial direction)速度及加速度分量為何?又切線方向(與徑向垂直)速度及加速度分 量為何?(20 分)
【已刪除】二、由圖示某點之應力狀況,計算未知應力
τ
與
τ
30
(20 分)
【已刪除】三、如圖示之纜索,已知纜索中最大張力為 40 kN。試求支承 A、E 處反力以及 B、C、 D 處之垂直距離 y
B
、y
C
、 y
D
。(20 分)
【已刪除】四、一長度為
質量為 m 的均勻直桿 AB 由二條繩索及一質量為 0.5 m 的重物 C 懸吊在 如圖所示的平衡位置。重力的方向為垂直向下,若懸吊在 B 點繩索突然斷掉,如不 考慮繩索及滑輪的質量,試求在繩索斷掉瞬間,直桿 AB 的質心加速度。(20 分)
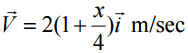
【已刪除】五、考慮一維不可壓縮流體在漸縮水道的流動,流速已知為
,求流場 在 x 方向的加速度表示式,並計算x = 2m 處的加速度值。(20 分)
相關試卷
114年 - 114 公務升官等考試_薦任_土木工程:工程力學(包括流體力學與材料力學)#133245
114年 · #133245
113年 - 113 地方政府公務特種考試_三等_土木工程:材料力學#124539
113年 · #124539
112年 - 112 公務升官等考試_薦任_土木工程:工程力學(包括流體力學與材料力學)#117162
112年 · #117162
112年 - 112 原住民族特種考試_三等_土木工程:工程力學(包括流體力學與材料力學)#116539
112年 · #116539
111年 - 111 原住民族特種考試_三等_土木工程:工程力學(包括流體力學與材料力學)#110630
111年 · #110630
110年 - 110 公務升官等考試_薦任_土木工程、結構工程:工程力學(包括流體力學與材料力學)#103690
110年 · #103690
110年 - 110 原住民族特種考試_三等_土木工程:工程力學(包括流體力學與材料力學)#101004
110年 · #101004
109年 - 109 原住民族特種考試_三等_土木工程:工程力學(包括流體力學與材料力學)#90831
109年 · #90831
108年 - 108 公務人員升官等公務薦任_土木工程:工程力學(包括流體力學與材料力學)#80522
108年 · #80522
108年 - 108 特種考試原住民族三等 工程力學(包括流體力學與材料力學)#79058
108年 · #79058