阿摩線上測驗
登入
首頁
>
核工原理
> 100年 - 100 高等考試_三級_核子工程:核工原理#39923
100年 - 100 高等考試_三級_核子工程:核工原理#39923
科目:
核工原理 |
年份:
100年 |
選擇題數:
0 |
申論題數:
11
試卷資訊
所屬科目:
核工原理
選擇題 (0)
申論題 (11)
一、一個樣品內最初僅含有活度為 1 Ci(居里)的放射性元素X
1
(t
1/2
= 13.86 days), 其並衰變成放射性元素X
2
(t
1/2
= 6.93 days)。試求需要多少時間,該放射性元素X
2
的活度將達到其最大值,又該最大活度的值(以Bq的單位表示)為何?(10 分)
二、假設 2 MeV光子入射於鉛(
82
Pb
208
)內的成對發生截面(pair-production cross section σ
pp
)為 1 b。依此,試估算 10 MeV光子入射於鈾-238 內的成對發生截面值。(5 分)
⑴試求D
2
O的緩和比(moderating (effectiveness) ratio)以及減能本領(moderation power or slowing down power)。(12 分)
⑵試求在D
2
O緩和劑內,具有 2 MeV的中子平均需要與D
2
O要進行幾次的彈性散射 才能減能至 0.0253 eV。(8 分)
【已刪除】四、取決於核反應器的爐心設計,由於緩和劑內任何的變化將導致其反應度(reactivity coefficient, αT )可能為正亦可能為負。基本上,核反應器爐心內的有效增殖因數 (effective multiplication factor, k
eff
)隨緩和劑(例如H
2
O)相對於燃料的原子密度 比值( N
M
/ N
F
)的變化情形如附圖所示。對於一個核子工程師而言,為了安全設 計與運轉核反應器,你希望核反應器爐心的 k
eff
隨 N
H
/ N
F
的變化情形應該落在那 一區?並試解釋之。(10 分)
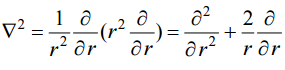
【已刪除】五、一個強度為 S0 neutrons/sec 的均向點中子源置於一個半徑為 R 的球中心,該球的介質 為擴散緩和的非增殖物質(diffusing, moderating, non-multiplying medium)所組成。 試證來自中子源的中子在該球內被吸收的機率 P
a
為 (10 分)
其中, ∇
2
對球體座標(假設與角度無關)的展開式為
【已刪除】六、假設某一輕水式核反應器的熱中子利用因數(thermal utilization, f )為 0.92,爐 心初始的有效增殖因數為 1.0621,試問該引入濃度為多少 ppm 的硼,方可當移出所 有的控制棒,該核反應器仍維持在臨界狀態(即 k
eff
= 1.0000 )。(20 分) 提供的數據:
⑴ Čeronkov radiation(5 分)
⑵ specific ionization(5 分)
⑶ thermal disadvantage factor(5 分)
⑷ common control rod methods and materials used in commercial BWR and PWR(10 分)
相關試卷
111年 - 111 高等考試_三級_核子工程:核工原理#109428
111年 · #109428
110年 - 110 高等考試_二級_核子工程:核工原理研究#101873
110年 · #101873
108年 - 108 高等考試_三級_核子工程:核工原理#77886
108年 · #77886
107年 - 107 高等考試_三級_核子工程:核工原理#70931
107年 · #70931
106年 - 106 高等考試_三級_核子工程:核工原理#63440
106年 · #63440
105年 - 105 高等考試_三級_核子工程:核工原理#54439
105年 · #54439
104年 - 104 高等考試_二級_核子工程:核工原理研究#39560
104年 · #39560
104年 - 104 高等考試_三級_核子工程:核工原理#39555
104年 · #39555
103年 - 103 高等考試_三級_核子工程:核工原理#39787
103年 · #39787
103年 - 103 高等考試_二級_核子工程:核工原理研究#39782
103年 · #39782