題組內容
三、提供數據如下:
重 水 ( D2O ) 的 密 度 為 1.1 g/cm3 , 亞 佛 加 厥 常 數 ( Avogadro number ) 為
0.602217 × 1024 #/mole,原子質量單位(amu)為 1.6605 × 10-27 kg。
假設在質心系統(CM system)中,D 和 O 皆與中子(質量數為 1)進行均向彈性
散射(isotropically and elastically scattered),已知入射能量為 E0 的中子與質量數為
A 的單一原子核(single nucleus)進行均向彈性散射的平均能量損失
為
, 其中α 為碰撞參數(collision parameter),其對應的平均對數能減或停頓增值(lethargy
gain)為
重 水 ( D2O ) 的 密 度 為 1.1 g/cm3 , 亞 佛 加 厥 常 數 ( Avogadro number ) 為
0.602217 × 1024 #/mole,原子質量單位(amu)為 1.6605 × 10-27 kg。
假設在質心系統(CM system)中,D 和 O 皆與中子(質量數為 1)進行均向彈性
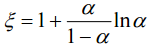
散射(isotropically and elastically scattered),已知入射能量為 E0 的中子與質量數為
A 的單一原子核(single nucleus)進行均向彈性散射的平均能量損失
為
, 其中α 為碰撞參數(collision parameter),其對應的平均對數能減或停頓增值(lethargy
gain)為