阿摩線上測驗
登入
首頁
>
生物統計學
> 100年 - 100 高等考試_三級_衛生行政、食品衛生檢驗、衛生技術、養殖技術、海洋資源:生物統計學#32657
100年 - 100 高等考試_三級_衛生行政、食品衛生檢驗、衛生技術、養殖技術、海洋資源:生物統計學#32657
科目:
生物統計學 |
年份:
100年 |
選擇題數:
0 |
申論題數:
18
試卷資訊
所屬科目:
生物統計學
選擇題 (0)
申論題 (18)
【已刪除】⑴ 100 人的ABO 及Rh 血型如下表,請估計:在Rh 陽性的條件下,A 型的機率。(5 分)
⑵心臟手術成功機率為 0.5,求 3 次手術中 3 次都成功的機率為何?(5 分)
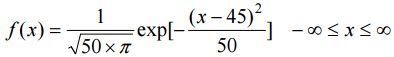
【已刪除】⑶如果臺灣地區 20 歲女子體重為常態分布,其機率密度函數(probability density function)如下,請問體重的標準差是多少?(5 分)
⑷ X1,X2,…,Xn是從算數平均數為μ 標準差為σ 的常態分布群體中隨機抽出的樣 本,則統計量 ])XX[( 22 i ÷−∑ σ 的機率分布為何種分布?(5 分)
⑴請估計男性群體質量指數平均值的百分之九十五信賴區間(95%CI)。(5 分)
⑵寫出本研究雙尾檢定的虛無假設(null hypothesis)與對立假設(alternative hypothesis)。(5 分)
⑶假定男、女兩群體質量指數的變異數相等,則群體質量指數變異數的估計值是多少?(5分)
⑷假定男、女兩群體質量指數的變異數相等,統計檢定量的 t 值應是多少?(5 分)
【已刪除】⑸上述 t 檢定可視為變異數分析(ANOVA)的特例。如以變異數分析方式進行,請 完成下列變異數分析表(ANOVA table)中(a)與(b)之數值。(每格 5 分,共 10 分)
⑴用年齡(X)來預測收縮壓(Y)的簡單直線迴歸模型(model)為 yˆ = b
0
+b
1
x 。請估計 該模型的斜率(b
1
)是多少?(5 分)
⑵請說明上述模型「斜率(b
1
)」的含意。(5 分)
⑶如果將年齡(X)中心化,換言之 X '= X − mean X )( 。用中心化年齡來預測收縮壓的 簡單直線迴歸模型為y ˆ=b
0
+b
1
x' '。請說明該模型「截距(b
0
)」的含意。(5 分)
⑷請估計該模型的決定係數(coefficient of determination)是多少?(5 分)
【已刪除】⑸迴歸分析中除須估計迴歸係數外也須呈現變異數分析表。請完成下列變異數分析 表(ANOVA table)中(a)與(b)之數值。(每格 5 分,共 10 分)
⑴不考慮性別,請估計吸菸者對不吸菸者有心血管疾病的相對危險性(relative risk)。(5 分)
⑵不考慮性別,只討論有否吸菸與有否心血管疾病間的關係,進行卡方檢定時,如 果不作連續校正(continuity correction),則卡方值應是多少?(5 分)
⑶不考慮性別,只討論有否吸菸與有否心血管疾病間的關係,如改用不作連續校正 的比例 Z 檢定(proportional Z test),則統計檢定量 Z 值應是多少?(5 分)
⑷不考慮是否吸菸,請估計男性對女性有心血管疾病的勝算比(odds ratio)。(5 分)
相關試卷
114年 - 114 地方政府公務特種考試_三等_漁業技術、養殖技術:生物統計學#134697
114年 · #134697
114年 - 114 公務升官等考試_薦任_衛生行政、衛生技術、衛生檢驗:生物統計學#133168
114年 · #133168
114年 - 114 高等考試_二級_衛生技術:生物統計學#131591
114年 · #131591
114年 - 114 高等考試_三級_漁業技術、養殖技術:生物統計學#128542
114年 · #128542
113年 - 113 地方政府公務特種考試_三等_漁業技術、養殖技術:生物統計學#124534
113年 · #124534
113年 - 113 高等考試_三級_漁業技術、養殖技術:生物統計學#121490
113年 · #121490
112年 - 112 地方政府特種考試_三等_衛生行政、養殖技術、食品衛生檢驗:生物統計學#118234
112年 · #118234
112年 - 112 公務升官等考試_薦任_衛生行政、衛生技術:生物統計學#117264
112年 · #117264
112年 - 112 高等考試_三級_衛生行政、漁業技術、養殖技術、食品衛生檢驗:生物統計學#115607
112年 · #115607
112年 - 112 高等考試_三級_衛生技術:生物統計學(含流行病學)#115497
112年 · #115497