所屬科目:教甄◆數學
12.當 a 為下列何值時,方程式 = 0 無解。 x (A) -3 (B) -1 (C) 1 (D) 3
13.設 x + = 4, xy + = 30,則y + 之值為 (A) 5 (B) 6 (C) 7 (D) 8
16. 設 x,y 均為整數,則的最小值為 (A) (B) (C) (D)
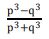
17. 設 p, q 為相異質數,下列何者恆為最簡分數 (A) (B) (C) (D)
18. 若 ≥ 0,則= (A) x√ x (B) x 4√ x (C)8√ x 3 (D) 8√ x7
20.正整數的遞增數列a1 , a2 , a3 , …滿足,其中n ≥ 1。若a7 = 120, 則 a6 = (A)72 (B) 74 (C) 76 (D) 78
22.設有兩個實數 a,b 滿足 ,則 a+b= (A)1911 (B) 2113 (C) 0 (D) 以上皆非
26. 若 等於最接近√ n 的整數(n≥ 1, 即 a1 =1, a2 = 1, a3 = 2,…, 則滿足 = 2012的正整數 n 共有多少個? (A)1006 (B) 2012 (C) 4024 (D) 以上皆非
29. 設 ,則 + ... + 之和為 (A) 501.5 (B) 502.5 (C) 503 (D) 1006
34. 一個正八面體的頂點恰為一正方體各面的中心點,試問正八面體積恰為此正方體體積的多少倍? (A) (B) (C) (D)
37. 下列哪個長度無法用尺規作圖畫出 (A) (B) √ 3 (C) 3√3 (D) 4√ 3
38.△ABC 中,∠A=100°,∠B=50°,為高, 為中線。則∠MHC= (A) 15° (B) 22.5° (C) 30° (D) 45°
40. △ABC 中,=5,=7且=9。設 D 在上滿足=5。則= (A) 7:5 (B) 11:6 (C) 13:5 (D) 19:8
44.設 A 為三階方陣且 A 的行列式值為 -3, 為 A 的轉置方陣。 則方陣 T 的行列式值為 (A) -108 (B) -18 (C) 18 (D) 72
45.已知 y=f(x)為可逆函數且過(1,0)點的切線方程式為 y=3(x-1)。 令 g 為 f 之反函數,則曲線 y=g(x) 過(0,1)點的切線斜率為 (A) -3 (B) (C) (D) 3
47.1 + + + ⋯ + + ⋯ = (A) (B) 2 (C) 3 (D)
48.1 − + ⋯ + n + ⋯ . . = (A) (B) (C) (D) ln 2
49. − x − 1 dx = 1 9 (A) (B) 1 (C) 2 (D)
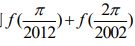
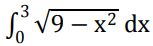
50. = (A) 9π (B) 6√3 (C) (D)