所屬科目:教甄◆數學
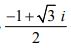
8. 若實係數三次多項方程式 x 3 + bx 2 + cx + 1 = 0 有一根為 ,則 b + c = ? (A) 2 (B) 4 (C) 6 (D) 8
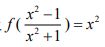
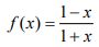
9. 設 ,並令函數 f ( x ) = ,則對實數 x, y ,下列何者不正確? (A) f ( x ) > 0 (B) f (3) < f (π ) 1 (C) f ( x ) f ( y ) = f ( x + y ) (D) f ( x ) >
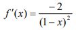
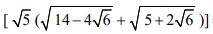
10. 設 ,則下列何者正確 ? (A) (B) (C) f (0) = 0 (D) f ′(0) = 2
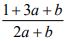
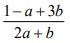
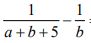
11. 設的整數部份為 a 且小數部份為 b ,則=? (A) 3 (B) -2 (C) -6 (D) 1
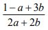
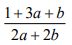
12. 設 log 2 = a, log 3 = b ,則log6 = ? (A) (B) (C) (D)
13. 設一平行四邊形 ABCD 的兩鄰邊長為 5 與 8,夾角為 60o 。若兩對角線的夾角為 θ ,則 sin θ =? (A) (B) (C) (D)
14. 設 x, y ∈ R 且 3x + 4 y = 5 ,則 x 2 + 2 y 2 的最小值為何? (A) (B) (C) (D)
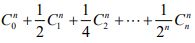
16. 試求滿足 > 100 的最小自然數 n 為何? (A) 10 (B) 11 (C) 12 (D) 13
34. 如右圖所示,將紙片 ΔABC 沿著 DE 折疊壓平。已知 ∠1 = 23° , ∠2 = 33° , 則 ∠A = ?
(A) 23°(B) 28°(C) 31°(D) 34°