阿摩線上測驗
登入
首頁
>
教甄◆電腦科專業
> 101年 - 101年國中教甄中區聯盟電腦科#42228
101年 - 101年國中教甄中區聯盟電腦科#42228
科目:
教甄◆電腦科專業 |
年份:
101年 |
選擇題數:
49 |
申論題數:
0
試卷資訊
所屬科目:
教甄◆電腦科專業
選擇題 (49)
1. 時間共享(Time-Sharing)系統中,使用者程式的中斷是由何者處理 (A)由使用者程式自行處理 (B)作業系統 (C)硬體 (D)使用者程式的外殼程序。
2. 下列何者可以將組合語言轉換成機器語言? (A)Binary Translator (B)Assembler (C)Compiler (D)Link loader。
3. 下列何種錯誤不會被編譯程式偵測出來但卻可能導致執行結果有誤? (A)Logical Error (B)Debug Error (C)Syntax Error (D)以上皆是。
4. 目前網際網路 IP 位址由四組數字所組成。下列 IP 位址之表示何者有誤? (A)140.110.23.1 (B)114.114.113.113 (C)140.115.258.77 (D)以上皆無誤。
5. 從資料庫(Database)擷取資料稱為什麼? (A)Querying (B)Fetching (C)Parsing (D)Queuing。
6. 在設定網路連線時,SMTP 伺服器是指? (A)收信伺服器 (B)寄信伺服器 (C)檔案伺服器 (D)以上皆非。
8. TCP/IP 架構中,哪一層決定封包傳送的方向? (A)網路層 (B)鏈結層 (C)傳輸層 (D)應用層。
9. Ethernet 採用下列何種通訊協定來處理多部電腦資料傳輸衝突問題? (A)Half Duplex (B)CSMA/CD (C)CSMA/CA (D)Circuit Switching。
10. 解調變(Demodulation)之意義為何?將訊號從 (A)數位(Digital)變同步(Synchronous) (B)數位(Digital)變類比(Analog) (C)類比(Analog)變數位(Digital) (D)同步(Synchronous) 變數位(Digital)。
11. 當一個行程(Process)完成 I/O 指令後,該行程狀態將改為? (A)Run to wait (B)Ready to run (C)Ready to wait (D)Wait to ready。
12. 甲方收到了乙方的一份電子公文,此份公文附有乙方的數位簽章,如果甲方想要驗證此簽章的正確性,此時系統要輸入以下 哪一把金鑰(Key)才能檢驗? (A)甲方的秘密金鑰(Private Key) (B)甲方的公開金鑰(Public Key) (C)乙方的秘密金鑰(Private Key) (D)乙方的公開金鑰 (Public Key)。
13. IEEE802.11a 最高傳輸速率為 (A)11 Mbps (B)22 Mbps (C)54 Mbps (D)108 Mbps。
14. 摩爾定律指出單一晶片內部預估的電晶體數量將在幾個月內成長兩倍? (A)6 個月 (B)12 個月 (C)18 個月 (D)24 個月。
15. 下列哪一種資料結構最適合儲存堆積(Heap)? (A)Array (B)Queue (C)Linked List (D)Stack。
16. 當資料被分割傳輸時,下列何種程式透過檢查封包的編號與次序來重組封包? (A)網路層程式 (B)鏈結層程式 (C)傳輸層程式 (D)應用層程式。 .
17. 請問二進位數值(11001.11)2等於下列哪個十進位數值? (A)(25.75)10 (B)(26.25)10 (C)(26.5)10 (D)(21.75)10
18. 請問二進位數值(10101.0101)2等於下列哪個八進位數值? (A)(51.21)8 (B)(25.24)8 (C)(25.21)8 (D)(25.05)8
19. 以下對於 Web Service 網路服務的敘述,哪一項敘述是錯誤的? (A)Web Service 是一種服務導向架構(SOA)的技術,讓不同平台的應用服務可以互相溝通與操作 (B)許多 Web Service 的架構 會透過 SOAP 協定,傳遞 XML 格式的資訊 (C)服務需求者(Service Requester)必須先到 UDDI(Service Broker)發佈所需要的服 務,再由服務提供者(Service Provider)查詢 UDDI 以提供適合的服務給需求者 (D)Web Service 通常會使用 WSDL 來描述服務 的連結方式和使用服務的協定
20. 請問以下哪一個儲存設備的存取速度最快? (A)快閃記憶體(NAND Flash) (B)暫存器(Register) (C)主記憶體(Main Memory) (D)硬碟(Hard Disk)
21. 請問關於 WiMax 的敘述何者有誤? (A)WiMax 是一種無線寬頻網路技術 (B)WiMax 的頻寬和傳輸速度都比傳統 Wi-Fi 及 ADSL 好 (C)WiMax 技術適合圖片、影 視音資料串流數據的傳輸 (D)WiMax 的無線電波傳送距離較 Wi-Fi 短,故涵蓋範圍較小,不適合長距離的通訊
22. 請問下列哪一種作業系統的排程方式,不會造成某些程序一直無法執行的不公平現象? (A)先進先出 (B)後進先出 (C)最短工作優先 (D)最長工作優先 國中電腦科 第 2 頁,共 3 頁
23. 在作業系統中,可以讓多個程式同時執行的功能稱為以下何者? (A)Multi-processor (B)Multi-task (C)Multi-media (D)Multi-user
24. 下列哪一項是由 VISA、MasterCard、Microsoft、與 IBM 等公司所聯合制定的網路安全交易標準,用來保護網路上信用卡之 付款交易? (A)EDI (B)XML (C)SSL (D)SET
25. 請問以下關於「像素(Pixel)」的敘述,哪一個是錯誤的? (A)影像資料矩陣的一個元素稱為像素 (B)影像資料矩陣的一種顏色稱為像素 (C)若像素只有一個位元,則只能表現出兩種顏色 (D)影像能儲存的最多顏色數目,是由像素的儲存位元個數來決定
26. 執行下列 C 程式片段,請問 sum 變數於程式執行後的值為何?
int i=0 , j=0 , sum=0 ; while (i<5 || j<15) { i++; sum=sum+i+j; j=sum+i; }
(A)37 (B)41 (C)83 (D)177
27. 請問以中置運算式(infixex pression)表示的算式 A*(B/D+C*D)*E,若改以前置運算式(prefixex pression)來表示,其結果為如 何? (A)*A/BD+*CD*E (B)**A+/BD*CDE (C)*A+/BD*CD*E (D)**A/BD+*CDE
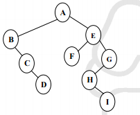
28. 下圖為一個二元樹(Binary tree),請問以後序走訪(post order traversal)所產生的節點順序為何?
(A)BCDAFHIGE (B)DCBAFIHGE (C)BCDAFEHIG (D)DCBFIHGEA
29. 請問下列哪一種排序法的排序結果屬於穩定排序(Stable Sort)? (A)Quick Sort (B)Heap Sort (C)Insertion Sort (D)Selection Sort
30. 以下何者是光纖通訊中使用的多工技術 ? (A)分時多工(TDMA) (B)分碼多工(CDMA) (C)分頻多工(FDMA) (D)分波多工(WDM)。
31. 下列何者不是造成死結(Deadlock)的必要條件? (A)互斥(Mutual Exclusion):至少有一個資源(Resource)不可被共用 (B)集中要求(Common Request):大部分的行程(Process) 都要求使用某個稀少的資源 (C)佔用與等候(Hold-And-Wait):有個行程佔用至少一個資源,且正等候已被佔用的其他資源 (D)不可搶先(Non-Preemption):不能搶走正在被使用的資源
32. 有關於 Database Schema 與 Database Instance 的說明,請問下列哪一個敘述是錯誤的? (A)Database Schema 是用來描述資料庫的欄位結構與資料型態 (B)Database Instance 是指實際儲存於資料庫內的資料 (C)Database Schema 經常改變,Database Instance 較少改變 (D)Database Schema 較少改變,Database Instance 經常改變
33. 有關於資料庫的正規化(Normalization),請問下列哪一個敘述是錯誤的? (A)符合 BCNF 的資料表格可能會發生 Update Anomalies 的狀況,但符合 3NF 的資料表格不會發生 (B)符合 BCNF 的資料表 格可能會發生 Lost Dependency Information 的狀況 (C)所有符合 BCNF 的資料表格必定符合 3NF (D)所有符合 3NF 的資料表 格必定符合 2NF
34. 有關於軟體開發的各種不同流程模式,以下哪一個敘述是錯誤的? (A)瀑布模式(Waterfall Model)在軟體專案的初期階段,就必須完全且清楚地描述軟體需求,對於軟體需求改變的應變能力較為 不足 (B)Unified Process(UP)是以反覆(Iterative)與漸增(Incremental)的原則進行軟體開發 (C)敏捷方法(Agile Method)是將開 發重點放在軟體本身,減少開發計畫和軟體文件的時間,並希望客戶可以協同合作 (D)螺旋模式(Spiral Model)著重於風險導 向,適合於小型專案計畫的快速開發
35. 兩個 16 進位的數字(CD)16與(A2)16作 XOR 的運算,所得的結果以 16 進位的數字表示,下列何者為正確? (A)DF (B)76 (C)5E (D)6F。
36. 堆疊(Stack)以及佇列(Queue)是常見的資料結構,它們的運作方式分別為何? (A)先進後出、先進先出 (B)先進先出、先進後出 (C)先進後出、先進後出 (D)先進先出、先進先出。
37. 在分頁(Paging)系統中,Dirty bit 的功用是? (A)決定一個不在記憶體中之分頁是否需被載入記憶體 (B)決定一個不在記憶體中之分頁是否需被寫入二級儲存(Secondary Storage) (C)決定一個在記憶體中之分頁是否需被載入記憶體 (D)決定一個在記憶體中之分頁是否需被寫入二級儲存。
38. 在資料庫系統中,雖然檔案的資料結構會視情況更改,但是處理此檔案的程式通常無須變動,這是資料庫系統的什麼特性? (A)Independence (B)Integrity (C)Security (D)Portability。
39. 關於物件導向的基本特性,以下哪個敘述是錯誤的? (A)封裝(Encapsulation)是將物件的實作細節隱藏,外界僅能透過訊息傳遞,要求該物件的操作提供服務 (B)多型 (Polymorphism)可以允許不同的類別去定義相同的操作,等程式執行時再根據訊息的類型來決定執行此操作的物件 (C)繼承 (Inheritance)是類別與物件之間的關係,每個物件會繼承類別的屬性與操作 (D)分類(Classification)是類別與類別之間的 關係,父類別是子類別的一般化(Generalization),子類別是父類別的特殊化(Specialization)
40. 近年來企業界使用了許多大型商業軟體,來強化企業內外各類相關活動的管理,下列何者是針對供應鏈的管理活動進行資訊 化的系統? (A)ERP (B)CRM (C)DSS (D)SCM
41. 雲端運算(Cloud Computing)在建置架構上大致分成三個階層,分別提供三種型態服務,其中 SaaS 代表什麼服務? (A)平台即服務 (B)基礎設施即服務 (C)軟體即服務 (D)以上皆非。
42. 三層式主從架構(Three-tier Architecture)使得 Client 端較簡化,因此系統需求較低,也可以整合後端不同的 Server,以統一的 方式呈現內部的資料。請問 Three-tier Architecture 比 Two-tier Architecture 的架構多出什麼? (A)Network Operating System (B)Client Software (C)Application Server (D)以上皆非。
43. 先將 n 筆資料排序完成,再使用二元搜尋法來找尋其中某一筆資料,這樣搜尋時間約為 (A)O(log2 n) (B)O(n) (C)O(n2 ) (D)O(log2n)。
44. TCP(Transmission Control Protocol)是以什麼方式建立連線? (A)傳送命令直接連線 (B)單向傳送連線訊息 (C)雙向交握方式 (D)三向交握方式。
45. OSI 參考模型將網路的功能及運作分成七個層次,請問負責加密與解密的工作是哪一層? (A)Application Layer (B)Presentation Layer (C)Session Layer (D)Transport Layer。
46. CPU 執行一個指令的過程叫做機器循環週期(Machine Cycle),包含下列四個步驟:指令擷取,指令解碼,指令執行,結果存 回。請問將程式計數器(Programcounter)遞增以記錄下一個指令的位址是屬於哪個步驟? (A)指令擷取 (B)指令解碼 (C)指令執行 (D)結果存回。
47. 在使用關聯式資料庫系統時,常需要將資料表格正規化(Normalization),以防止資料在新增、刪除或更新時產生異常與空間 浪費。請問消除遞移相依(Transitive Dependency)是哪一個階段的主要目標? (A)第一正規化(1NF) (B)第二正規化(2NF) (C)第三正規化(3NF) (D)以上皆非。
48. 哪一種排程演算法最適合分時系統(Time-sharing)所使用? (A)巡迴式排程法(Round Robin Scheduling) (B)先到先執行(FCFS : First Come First Serve Scheduling) (C)最短時間的工作先執 行(Shortest Job First Scheduling) (D)優先等級排班法(Priority Scheduling)。
49. 資料壓縮技術可以減少許多儲存的空間,請問下列何者屬於無損壓縮(Lossless Compression)方法? (A)MP3 (B)JPEG (C)H.264/MPEG-4AVC (D)ZIP。
50. 演算法的設計方式,有一種稱為 Divideand Conquer 的方法,就是將一個大問題分割成數個小問題再各個擊破。請問下列哪一 種排序法就是 Divideand Conquer 的方法? (A)Bubble Sort (B)Insertion Sort (C)Quick Sort (D)Selection Sort。
申論題 (0)
相關試卷
113年 - 113 金門縣國民小學教師聯合甄選試題:資訊科技專業科目#120867
113年 · #120867
113年 - 113 高雄市市立國民小學_教師聯合甄選:專長類-資訊試卷#120693
113年 · #120693
112年 - 112 新北市國民小學暨幼兒園教師甄選試題:資訊科#118895
112年 · #118895
112年 - 112-1 國立臺東大學附設實驗國民小學教師甄選試題:資訊專業科目#115036
112年 · #115036
112年 - 112 臺北市市立國民中學正式教師聯合甄選:資訊科技(雙語)科#114640
112年 · #114640
112年 - 112 臺北市市立國民中學正式教師聯合甄選:資訊科技科#114633
112年 · #114633
112年 - 112 高雄市市立高級中等學校聯合教師甄選試題:資料處理科#114465
112年 · #114465
112年 - 112-1 國立東華大學附設實驗國民小學教師甄選題目:資訊專業#114445
112年 · #114445
112年 - 112 臺北市市立普通型暨技術型高級中等學校正式教師聯合甄選:資料處理科#114335
112年 · #114335
112年 - 112 新北市公立高級中等學校教師聯合甄選試題:資訊科#114159
112年 · #114159