阿摩線上測驗
登入
首頁
>
原子物理
> 101年 - 101 高等考試_三級_核子工程:原子物理#39996
101年 - 101 高等考試_三級_核子工程:原子物理#39996
科目:
原子物理 |
年份:
101年 |
選擇題數:
0 |
申論題數:
9
試卷資訊
所屬科目:
原子物理
選擇題 (0)
申論題 (9)
一、⑴考慮一個原子序為 Z 的類氫原子。如果 Z > 1,依據相對論能量公式,證明其束 > 縛電子的動能 K 近似於 pc,其中 p 是電子動量,c 是光速。(5 分)
⑵依據德布羅意(de Broglie)物質波概念,證明電子的動能K可寫為hc/(2π r),其中 r為電子繞原子核運動的半徑、h是普郎克常數。(5 分)
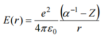
【已刪除】 ⑶如果電子運動的半徑 r 很小,證明電子的總能量 E 可寫為
,其中α = e
2
/(2ε
0
hc) ≈ 1 / 137.036 是精細結構常數。(10 分) 4π ε 0 r
⑷說明此一類氫原子具有束縛態的條件。(5 分)
二、最常見的碳同位素為
12
C, 其原子的質量被定義為 12 u。 已知
12
C由 6 個中子 (neutron) 6 、 12 個質子(proton)及 6 個電子(electron)構成,試計算一莫爾
12
C原子之核子束縛能( Nuclear Binding Energy)。[中子、質子與電子的質量分别為 1.008665 u、1.007276 u 與0.0005486 u,一莫爾(mole)約為 6.02214×10
23
個,1u=1.6605×10
−27
kg。](25 分)
三、⑴依據玻爾(Bohr)的原子模型,並考慮約化質量(Reduced Mass)效應,推導原 子序為 Z 之類氫原子的雷德堡公式(Rydberg formula)。(15 分)
⑵計算氫原子(H)及一價氦離子(He
+
)的雷德堡常數。氫核為質子,其質量為 1.6726 × 10
−27
kg。氦核為 α 粒子,其質量為 6.6447 × 10
−27
kg。(10 分)
⑴考慮一多電子原子系統,若其基態電子組態是由填滿的次殼層(Subshell)所組成。 證明其基態以光譜符號(Spectroscopic Notation)表示為
1
S
0
原子狀態。(15 分)
⑵一單價多電子原子的基態為一完全填滿的內殼層,而其最外殼層內有一個d電子。 其可能的原子狀態為何?以光譜符號表示。(10 分)
相關試卷
111年 - 111 高等考試_三級_核子工程:原子物理#109660
111年 · #109660
110年 - 110 公務升官等考試_薦任_原子能:原子物理#103466
110年 · #103466
108年 - 108 高等考試_三級_核子工程:原子物理#77870
108年 · #77870
107年 - 107 高等考試_三級_核子工程:原子物理#71187
107年 · #71187
106年 - 106 高等考試_三級_核子工程:原子物理#63443
106年 · #63443
104年 - 104 高等考試_三級_核子工程:原子物理#39580
104年 · #39580
103年 - 103 高等考試_三級_核子工程:原子物理#39824
103年 · #39824
102年 - 102 高等考試_三級_核子工程:原子物理#39946
102年 · #39946
102年 - 102 公務升官等考試_薦任_原子能:原子物理#39936
102年 · #39936
100年 - 100 公務升官等考試_薦任_原子能:原子物理#40101
100年 · #40101