阿摩線上測驗
登入
首頁
>
原子物理
> 102年 - 102 高等考試_三級_核子工程:原子物理#39946
102年 - 102 高等考試_三級_核子工程:原子物理#39946
科目:
原子物理 |
年份:
102年 |
選擇題數:
0 |
申論題數:
7
試卷資訊
所屬科目:
原子物理
選擇題 (0)
申論題 (7)
⑴頻率。(20 分)
⑵波長。(10 分) 其中
3
He、
4
He 與
7
Be 的質量分別為 3.016029u、4.002602u 與 7.016930u,而 1u = 1.660540 ×10
-27
kg。
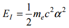
【已刪除】 ⑴試證明基態原子的游離能為
。(10 分)
⑵在氫原子中以緲子取代電子時,處於基態的緲子之游離能為何?緲子質量 1.883889×10
-27
kg。(10 分)
⑶若以一個正濤子(電量與一個質子相同)取代氫原子核時,基態電子軌道半徑的 改變為何?濤子質量 3.168106×10
-27
kg。(10 分)
⑴加入 γ 的新反應式。(20 分)
⑵ γ 所攜帶的能量。(20 分)
相關試卷
111年 - 111 高等考試_三級_核子工程:原子物理#109660
111年 · #109660
110年 - 110 公務升官等考試_薦任_原子能:原子物理#103466
110年 · #103466
108年 - 108 高等考試_三級_核子工程:原子物理#77870
108年 · #77870
107年 - 107 高等考試_三級_核子工程:原子物理#71187
107年 · #71187
106年 - 106 高等考試_三級_核子工程:原子物理#63443
106年 · #63443
104年 - 104 高等考試_三級_核子工程:原子物理#39580
104年 · #39580
103年 - 103 高等考試_三級_核子工程:原子物理#39824
103年 · #39824
102年 - 102 公務升官等考試_薦任_原子能:原子物理#39936
102年 · #39936
101年 - 101 高等考試_三級_核子工程:原子物理#39996
101年 · #39996
100年 - 100 公務升官等考試_薦任_原子能:原子物理#40101
100年 · #40101