阿摩線上測驗
登入
首頁
>
原子物理
>
102年 - 102 高等考試_三級_核子工程:原子物理#39946
> 申論題
題組內容
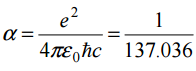
二、根據波爾原子模型,氫原子中基態電子的軌道半徑
與運動速度 v = α c ,其中
⑵在氫原子中以緲子取代電子時,處於基態的緲子之游離能為何?緲子質量 1.883889×10
-27
kg。(10 分)
相關申論題
⑴頻率。(20 分)
#121069
⑵波長。(10 分) 其中 3 He、 4 He 與 7 Be 的質量分別為 3.016029u、4.002602u 與 7.016930u,而 1u = 1.660540 ×10 -27 kg。
#121070
⑶若以一個正濤子(電量與一個質子相同)取代氫原子核時,基態電子軌道半徑的 改變為何?濤子質量 3.168106×10 -27 kg。(10 分)
#121073
⑴加入 γ 的新反應式。(20 分)
#121074
⑵ γ 所攜帶的能量。(20 分)
#121075
(二)若電子由第一激發態(first excited state)躍遷至基態(ground state), 則躍遷過程釋放出光子的頻率為何?
#470105
(一)寫出電子波函數的通解。
#470104
(三)若此金屬的功函數為 1 eV,則產生的光電子最大動能為何?用 eV 表示。
#470103
(二)若光子完全被極板吸收,則極板受力為何?
#470102
(一)單位時間有多少顆光子?
#470101
相關試卷
111年 - 111 高等考試_三級_核子工程:原子物理#109660
111年 · #109660
110年 - 110 公務升官等考試_薦任_原子能:原子物理#103466
110年 · #103466
108年 - 108 高等考試_三級_核子工程:原子物理#77870
108年 · #77870
107年 - 107 高等考試_三級_核子工程:原子物理#71187
107年 · #71187
106年 - 106 高等考試_三級_核子工程:原子物理#63443
106年 · #63443
104年 - 104 高等考試_三級_核子工程:原子物理#39580
104年 · #39580
103年 - 103 高等考試_三級_核子工程:原子物理#39824
103年 · #39824
102年 - 102 高等考試_三級_核子工程:原子物理#39946
102年 · #39946
102年 - 102 公務升官等考試_薦任_原子能:原子物理#39936
102年 · #39936
101年 - 101 高等考試_三級_核子工程:原子物理#39996
101年 · #39996