所屬科目:教甄◆商業經營科
7.已知某一廠商總固定成本 TFC=1000,僅投入勞動一項變動要素,PL (勞動者工資)=300 元,並維持不變; PL 若生產的 X 產品價格 PX =30 元,也固定不變,則根據下表投入產出表,下列何者錯誤? (A)X 產品市場及 L 要素市場皆為完全競爭 (B)L=6 人時,是處於合理階段 (C)L=7 人時,每一單位產 出的平均總成本(ATC)約為 24.6 (D)廠商使用 8 人時, ,可獲 得最大利潤=780 元。
10.假設下表為某廠商的價格、數量與成本,下列敘述何者正確? (A)此廠商為完全競爭廠商 (B)Q=6 為最適產量,且 AR<AC (C)Q=8 時,廠商所面對的需要彈性小於一 (D)Q=4時,MC為6
11.已知一完全競爭廠商的短期成本函數為STC = q3 - 10q2 + 33q +100,此一廠商之短期供給函數為何? (A) (B) (C)(D) 。
16.右表是廠商在資源及技術不變的情況下,所生產 X 財和 Y 財的組合 情況,若表內的 A、B、C、D 各點均落在生產可能曲線上,則下列敘 述何者正確? (A)不論 X 財或 Y 財貨的機會成本都為遞減 (B)此 生產可能曲線為凹向原點 (C)此生產可能曲線之邊際技術替代率為遞 減 (D)在線上的各點達到經濟效率。
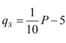
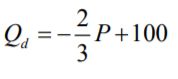
1.若某一產業之市場需要函數為 ,而此產業由 10 個供給條件完全相同之生產者所構成,每一生產者之 供給函數 ,若政府對此產業之產品課徵 10 元之從量稅,試求下列問題:(1)計算稅前均衡價格與數量: ___________(2)計算稅後消費者所付價格與生產者得到的價格:________________(3)每一單位 10 元之稅收中,消 費者、生產者各自承擔的稅負比例:_________________________(4)計算此稅所導致的無謂損失:_____________。
2. 下圖為獨占性競爭廠商之成本及收益圖形,試求「超額產能」為___________ 。