所屬科目:教甄◆數學
1. 下列哪一個數最大? (A) (B)(C) (D)
3. 在下列的數線中,請問哪一點最適合表示「D-B」的答案? (A) A (B) C (C) E (D) F
4. 令 P、Q、R、S 表示由 1¸2¸3¸4¸5¸6¸7¸8¸9 等九個數字所選出的四個不同的數字,則 之最大值是什麼? (A) 8.8 (B) 8.75 (C) 5.875 (D) 4.375
5. 如右圖,外角 x' , y' , z' 的角度比例是 4:5:6,則下列哪一個內角 的度數是對的?
(A) x = 90 (B) y=60 (C) z = 30 (D) z = 35
11. 有一長為 80 公尺,寬為 60 公尺的農田,政府要在農田中開 2 條小路(如右圖),小路開闢後地主實際能耕 種的農田面積為 A 平方公尺,請問下列何者正確?
(A) A ≤4000 (B) 4000 < A ≤ 4100 (C) 4100 < A ≤ 4200 (D) A > 4200
13. 下圖中,最多可找出幾個三角形? (A) 12 個 (B) 13 個 (C) 14 個 (D) 15 個
14. 兩個容量均為 1970ml 的瓶子中裝有純葡萄原汁,其中一個裝了 瓶,另一個裝了 瓶。分別在兩個瓶子 中加入冷開水使其裝滿。若將這兩瓶已加水稀釋的葡萄汁都倒入同一個容量為 5L 的空容器中調勻,則調 勻後之葡萄汁的濃度最接近下列那一個? (A) 25% (B) 50% (C) 65% (D) 70%
15. 如右圖所示,有五個面積相同的大正方形,每個大正方形的面積是 100 cm2,如果 陰影部分的總面積是 460 cm2,求一個無陰影的小正方形的面積。 (A) 5 cm2 (B) 10 cm2 (C) 15 cm2 (D) 20 cm2
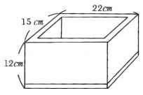
17. 如右圖所示,有一木製無蓋收納箱,現測量收納箱之外緣,得知它的長,寬, 高分別為 22、15、12 公分,且木板厚度為 1 公分。 試問此收納箱共用了多少體積的木板? (A) 840 立方公分 (B) 950 立方公分 (C) 1100 立方公分(D) 2860 立方公分
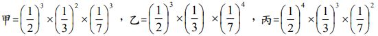
19. 設甲=,則甲、乙、丙的大小關係為何? (A) 甲<乙<丙 (B) 甲<丙<乙 (C) 乙<甲<丙 (D) 丙<乙<甲
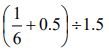
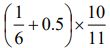
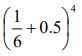
21. 若 ,則左列甲、乙、丙、丁有多少個是沒有意義的? (A) 0 個 (B) 1 個 (C) 2 個 (D) 3 個
26. 在三角形 PQR 中,=15。 三角形 PST 之面積與三角形 PQR 之面積的比值最接近下列那一數? (A) 0.4 (B) 0.3 (C) 0.2 (D) 0.1
27. 下列哪一個是計算“A 的 ”的方法?(A 為任意實數) (A) A 乘以 3 4 (B) A 除以 4 再除以 3 (C) A 除以 3 再乘以 4 (D) A 除以 4 再乘以 3
31. 圓 4x2 +4y2 -2x+3y-1=0 的半徑是多少? (A) (B) (C) (D)
33. 右圖中,已知 OABC 是長方形,扇形 OED 是 長是 6 公分,問圓 O 之面積為 何? (A) 24π 平方公分 (B) 30π 平方公分 (C) 36π 平方公分 (D) 42π 平方公分
35. 不等式 的解集合為 (A) (B) (C) (D)
36. 小華同時投擲一個公正的正 12 面體骰子(各面點數分別為 1~12)和一個公正的正方體骰子(各面點數分別 為 1~6),則其所擲出的「兩個骰子點數之乘積為 3 的倍數」之機率是什麼? (A) (B) (C) (D)
37. 設 x, y 為二實數且滿足 x+2y=1,則 x2 +y2的最小值為? (A) (B) (C) (D)
38. 令 g 為一函數使得對於任意正實數 a 與 b 都有 之性質 ,若 g(25)=3,則 g(30)=? (A)(B) (C) 2 (D) 1
39. x、y 為整數,且 ,則下列何者正確? (A) x 的最小值是 9 (B) x 的最大值是 72 (C) x+y 的最小值是 32 (D)x+y 的最大值是 80
40. 已知△ABC 為直角三角形且角 B ,D,E 依序為 =? (A)25 (B)26 (C)29 (D)31