阿摩線上測驗
登入
首頁
>
教甄◆理化專業
> 102年 - 102年南區國中教甄理化試題#23405
102年 - 102年南區國中教甄理化試題#23405
科目:
教甄◆理化專業 |
年份:
102年 |
選擇題數:
50 |
申論題數:
0
試卷資訊
所屬科目:
教甄◆理化專業
選擇題 (50)
1. 最早測定大氣壓力值的實驗是 (A) 托里切利實驗 (B) 馬德堡半球實驗 (C) 阿基米得原理實驗 (D) 奧斯特實驗
2. 甲杯的水80℃與20℃的乙杯水混合,混合末溫60℃,現在混合前溫度交換,甲杯 20℃, 乙杯 80℃,則末溫是何者? (A) 60℃ (B) 50℃ (C) 40℃ (D) 30℃
複選題
3. 一物體直線上升,下列說法何者正確? (A) 位能增大,動能減小,機械能不變 (B) 位能增大,動能不變,機械能增大 (C) 位能增大,動能不變,機械能不變 (D) 位能增大,動能增大,機械能增大
4. 一光線垂直入射平面鏡,光線不變,平面鏡轉動 10 度,反射光與入射光夾角將改變 (A) 180 度 (B) 20 度 (C) 10 度 (D) 0 度
5. 220V 40W 和 110V 40W 兩燈泡正常運作時 (A) 電流不同 亮度不同 (B) 電阻不同 亮度不同 (C) 電壓不同 亮度不同 (D) 功率相同 亮度相同
6. 甲,乙兩車在環形跑道賽車,當甲車跑完五圈時,乙車正好跑完四圈,若兩車速度維持不變,則 甲車比乙車早 10min 到達終點,問甲乙兩車跑完全程各用多少時間? (A) 甲:40 min 乙:50min (B) 乙:40min 甲:50min (C) 甲:30 min 乙:40 min (D) 甲 40min 乙:30min
7. 下列關於內能,何者正確? (A) 物體溫度越高,熱量越多 (B) 物體溫度降低,內能減少 (C) 物體運動速度越大,內能越多 (D) 物體比熱越小,內能越高
8. 下列物體何者浮力增大 (A) 河中的石頭被沖入大海 (B) 河中的船開進大海 (C) 海面下正在上浮的潛水艇 (D) 靠岸的船在卸貨
9. 白熱燈炮燈絲常捲成螺旋狀原因為下列何者? (A) 便於散熱防止熔斷 (B) 盡量減少燈絲的電阻 (C) 減少散熱,提高燈絲的溫度 (D)減少燈絲在高溫的昇華
10.下列有關熱傳播方式的敘述,何者錯誤? (A) 熱輻射不需要介質就可以傳遞 (B) 熱輻射是由熱源向四面八方傳遞 (C) 對流是由溫度高處傳向溫度低處 (D) 在真空中無法熱傳導
11.一裝滿水跟冰塊的燒杯,冰塊部分浮出水面,水面恰與杯口相等,問冰塊融化後,水面將會如何 變化? (A) 水會從燒杯溢出 (B) 沒有水溢出,水面也不會下降 (C) 水面下降 (D) 融化過程水面下降,完全融化水面溢出
12.油炸食物時,不慎滴入水,會造成油的噴濺,原因是 (A) 水的溫度太低 (B) 水是熱的不良導體 (C) 水的比熱比油大 (D)水的沸點比油低
13.眼睛近視,是水晶體聚焦在視網膜之前,還是視網膜之後? (A) 後 (B) 前 (C) 不一定 (D) 無法判斷
14.下列何者不是能量或熱量的單位?(A) 電子伏特 (B) 焦耳 (C) 卡 (D) 瓦特
15.下列關於電荷間庫侖作用力的敘述,哪一項為錯誤? (A) 作用力正比於兩個電荷量的乘積 (B) 作用力正比於兩個電荷之間介質的介電常數 (C) 作用力反比於兩個電荷間距離的平方 (D) 作用力的方向在兩個電荷的連線上
16.晴朗的日間天空呈現藍色是由於光的(A) 繞射 (B) 干涉 (C) 漫射 (D) 散射
17.一輻射性物質會放射出射線,射線指的是 (A) 電子束 (B) 質子束 (C) 氦原子核束 (D) 高能量電磁波
18.下列敘述何者不正確 (A) 物體進行等速圓周運動的向心力正比於其移動速率的平方 (B) 人造衛星繞地球進行圓周運動的向心力恰好等於其與地球間的萬有引力 (C) 以一細線綁住一物體讓它在一水平面進行圓周運動的向心力恰好等於細線的張力 (D) 一汽車在水平路面沿圓弧轉彎時的向心力為汽車輪胎的摩擦力
19.一石子從某塔頂端自由落下 5m 的瞬間,另一石子自塔頂正下方 25m 處開始自由落下。若兩 石子同時著地,則塔高為(A) 35m (B) 45m (C) 80m (D) 125m (g=10 m/s
2
)
20.核能電廠的反應器內消耗掉 1 公克的核燃料時,假設其釋放的核能有 80%轉換成電能,請問可 產生多少度的電能?(已知光速 C=3×10
8
米/秒,1 度電能=1 瓩-小時) (A) 2.0×10
7
(B) 2.0×10
10
(C) 7.2×10
13
(D) 7.2×10
16
21.質量比為 1:2,密度比為 3:2,長度相等,電阻係數比為 2:1 之 A、B 二電阻線的電阻比為 (A) 3:2 (B) 2:3 (C) 3:1 (D) 6:1
22.有甲、乙二種氣體,其壓力比 1:3,莫耳數比 2:1,體積比 3:2,則分子平均動能比為多少? (A) 1:4 (B) 2:1 (C) 1:2 (D) 3:2
23.將長度為的繩子之兩端固定,並使繩子震動形成駐波,其波長不可能為以下何者?
24.一單擺其擺動的最大幅角為 60°,則當擺角為 30°時,與擺球擺到最低點時,其動能的比為 (A)( √2 + 1): 2 (B) (√2 - 1): 1 (C) (√3 + 1): 3 (D) (√3 - 1): 1
25.當光通過一針孔在後方屏幕上產生同心圓形狀的繞射圖案時,其中央亮區的半徑: (A) 與光的頻率成正比 (B) 與光強度成正比 (C) 與針孔半徑成反比 (D)與小孔至光屏的距離無關
26.IF
3
分子的形狀為: (A) 三角形 (B) T 字形 (C) 三角錐形 (D) 四角形
27.Al, Pt, Cd. 三個元素的金屬性質的大小次序為: (A) Cd < Pt < Al (B) Al < Pt < Cd (C) Al < Cd < Pt (D) Cd < Al < Pt
28.下列分子中,何者是非極性的? (A) HCN (B) CHCl3 (C) H2O (D) BCl3
29.以下列之鍵焓(bond enthalpies): C-C (348), C=O (707), O=O (498), H-O (464), C-H (414), 單位為 kJ/mol, 計算C
7
H
16
完全燃燒的ΔH° kJ/mol. (A) -3.13 × 10
3
kJ/mol (B) -2.93 × 10
3
kJ/mol (C) -2.57 × 10
3
kJ/mol (D) -2.43 × 10
3
kJ/mol
30.下列有關 AsF
6
-
的敘述是錯誤的: (A) 混成軌域為 sp
3
d
2
(B) 分子為八面體 (C) 沒有π鍵 (D) 有一對孤對電子
31.當 100 mL, 2.0 × 10
-6
M Ag
+
和 100 mL, 2.0 × 10
-3
M Br
-
混合後, Ag
+
濃度為: (AgBr 的K
sp
為 5.0 × 10
-13
). (A) 7.1 × 10
-7
(B) 5.0 × 10
-10
(C) 1.0 × 10
-3
(D) 5.0 × 10
-13
32.在陽離子的分析中,不會受到HCl的影響,但是H2S會使其沉澱的陽離子 (A) NH
4
+
(B) Cu
2
+
(C) Ag
+
(D) K
+
33.下列反應為放熱反應2N
2
O
(g)
→ 2N
2(g)
+ O
2(g)
所以此反應 (A) 在任何溫度都是自發的 (B) 只有在高溫時是自發的 (C) 只有在低溫時是自發的 (D) 在任何溫度時都是非自發的
34.在一個開放的空間,25°C 時水的蒸氣壓為 23.8 mmHg, 下列反應在25°C 時其ΔG 為多少? H
2
O
(l)
→ H
2
O(g, 23.8 mmHg) (A) 0 kJ/mol (B) -8.58 kJ/mol (C) +8.58 kJ/mol (D) -0.720 kJ/mol
35.包含 Fe
3+
∣ Fe
2+
(0.771V) 半電池和Zn
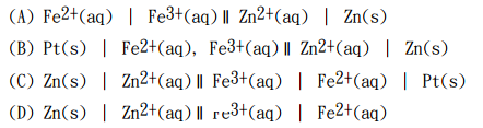
2+
∣ Zn (-0.763 V) 半電池的電池可表示為:
36.玻璃電極是用於直接測量: (A) pH (B) pKa (C) Ksp (D) E
o
37.下列分子中何者會有配位同分異構物(Coordination isomerism): (A) Li[AlH
4
] (B) [Ag(NH
3
)
2
][CuCl
2
] (C) [Co(NH
3
)
4
Cl
2
]Br (D) [Pt(H
2
O)
4
Cl
2
]
38.下列何者不是兩性化合物(amphiprotic compound)? (A) NH
2
CH
2
COOH (B) NH
3
(C) CH
3
OH (D) CO
3
2-
39.過渡金屬(transition metal)離子溶在水中,通常具有顏色,下列敘述何者正確? (A) 過渡金屬離子吸收可見光 (B) 過渡金屬離子吸收紫外光 (C) 過渡金屬離子放出可見光 (D) 綠色溶液是因為吸收綠色的光
40.有一個元素和氯形成穩定的離子化合物,且分子式為 XCl
2
。假如此元素離子的質量數 (mass number)為 40,電子數為 18,這個元素為何?具有多少個中子? (A) Ar , 22 個 (B) Ar , 24 個 (C) Ca, 20 個 (D) K , 19 個
41.咖啡因(caffeine)含有 49.48% C,5.15% H,28.87% N,及 16.49% O,若咖啡因的莫耳質量 (molar mass)為 194.2 g/mol,請問咖啡因的分子式為何? (C: 12.01 g/mol,H: 1.008 g/mol, N: 14.01 g/mol,O: 16.00 g/mol) (A) C
4
H
5
N
2
O (B) C
8
H
10
N
4
O
2
(C) C
6
H
4
NO (D) C
12
H
15
N
6
O
3
42.右列反應在酸性條件下進行
當方程式平衡後,水會在方程式的左邊或右邊 (A) 右邊,4 (B)左邊,4 (C) 左邊,15 (D) 右邊,11
43.有一個分子結構如右:
請問每個碳原子的混成軌域為何 (A) sp
2
sp
2
sp
2
sp
3
(B) ssp
2
sp
2
sp
2
sp
3
sp
3
(C) sp
2
sp
2
sp
3
sp
3
sp
3
(D) sp sp sp sp 2sp
2
sp
44.下列哪一個化合物不是 聚合物(polymer)? (A) 蛋白質 (B)塑化劑 (C)塑膠 (D)DNA
45.有四種酸分別為 CH
3
COOH、C
3
H
7
COOH、C
5
H
11
COOH 、CCl
3
COOH,請問哪一個酸性最強?哪一個酸性 最弱? (A) CH
3
COOH,C
5
H
11
COOH (B) C
5
H
11
COOH,CCl
3
COOH(C) CCl
3
COOH,CH3COOH(D) CCl
3
COOH,C
5
H
11
COOH
46.若將 100 mL 濃度為 0.1 M的硝酸銀(AgNO
3
)溶液和 50 mL 濃度為 0.1 M 的氯化鈉(NaCl)溶液混合, 會產生氯化銀的沉澱。請問混合後的溶液中,氯離子濃度為何? (AgCl 的 Ksp 為 1.82x10
-10
) (A) 0.2 M (B) 0.05 M(C) 1.82x10
-9
M (D) 5.46x10
-9
M
47.以 0.10 M 氫氧化鈉溶液滴定混合酸溶液,混合酸溶液含有0.10M HA(Ka =10
-3
)及 0.03 M HB(Ka=10
-8
),請問滴定曲線應該為下列哪一個?
48.已配置好 0.5 M 的 HA 及0.5 M 的 NaA 溶液(HA 的 Ka=10
-5
),若需配製 1 公升(L) pH=4 的緩衝溶 液,請問需將多少體積的HA 及 NaA 溶液混合? (A) 各 500 ml(B) 909 ml HA,91 ml NaA (C) 240 ml HA,760 ml NaA(D) 781 ml HA,219ml NaA
49.下列反應
,請問液態 Br
2
的沸點為何 (A) 0K (B) 0℃ (C) 333K (D) 333 ℃
50.“在 0 K 時完美晶體(perfect crystal)的 entropy 等於 0”,此段敘述是 (A) 熱力學第一定律(B) 熱力學第二定律(C) 熱力學第三定律 (D) 動力學
申論題 (0)
相關試卷
114年 - 114 高雄市市立國民中學教師聯合甄選:理化#129022
114年 · #129022
114年 - 114-2 新竹市國民中學教師聯合甄選初試試題:理化科#128192
114年 · #128192
114年 - 114 臺南市市立國民中學_正式教師聯合甄選試題:理化專門科目#128068
114年 · #128068
114年 - 114 桃園市國民中學新進教師聯合甄選試題:理化科#127855
114年 · #127855
114年 - 114 臺北市市立國民中學_正式教師聯合甄選試題:理化科#127441
114年 · #127441
114年 - 114 新北市立國民中學_教師聯合甄選試題:資優理化科#127356
114年 · #127356
114年 - 114 新北市立國民中學_教師聯合甄選試題:理化科#127217
114年 · #127217
114年 - 114 國立嘉科實驗高級中學_國中部教師甄選試題:理化科#126863
114年 · #126863
114年 - 114-1 新竹市立建功高中正式教師甄選試題:國中理化#126098
114年 · #126098
113年 - 113 臺南市市立國民中學_正式教師聯合甄選試題:理化專門科目#120957
113年 · #120957