阿摩線上測驗
登入
首頁
>
鋼結構設計
> 102年 - 102年專門職業及技術人員高等建築師、技師、第二次食品技師暨普通不動產經紀人、記帳士考高等_結構工程技師#25842
102年 - 102年專門職業及技術人員高等建築師、技師、第二次食品技師暨普通不動產經紀人、記帳士考高等_結構工程技師#25842
科目:
鋼結構設計 |
年份:
102年 |
選擇題數:
0 |
申論題數:
5
試卷資訊
所屬科目:
鋼結構設計
選擇題 (0)
申論題 (5)
【已刪除】一、如圖 1 所示空心圓斷面,已知 d=0.6 D,試求該斷面之斷面模數(Section modulus) S
x
、塑性斷面模數(Plastic section modulus)Z
x
及形狀因數(Shape factor)f=? (求解之 S
x
及 Z
x
請以 D 表示)(25 分)
【已刪除】二、如圖 2 所示之剛架承受均佈載重 w,柱 CD 為靠桿。已知梁及柱之 E=2,040 tf/cm
2
, 梁及柱之長度 L=6 m,柱之 Ic= 30,094 cm
4
,梁之 I
b=
136,108 cm
4
。試使用 AISC Alignment Chart 及萊梅厥公式(LeMessurier formula),求解剛架中柱 AB 之有效長 度係數K′
AB
及挫屈載重 w
cr
(tf/m)=?今若僅於梁 BC 上配置單位重 ρ= 240 tf/m
2
之均 佈載重,試求該載重容許配置的厚度 d(m)=?(25 分) (柱邊界為固接(Fixed end)時 G 使用 1、為鉸接(hinged end)時 G 使用 10。)
⑴試以容許應力設計法(ASD),求解該柱之容許壓力強度 Pa=?(15 分)
⑵試以極限設計法(LRFD),求解該柱之設計壓力強度φcPn=?(10 分)
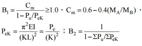
【已刪除】四、如圖 4 所示一無側撐剛架,承受垂直軸壓力 P 及水平力 H。試使用 LRFD 求解柱 BC 之二階設計彎矩(Second-order design moment)M
u
及 B
1
、B
2
、M
nt
、M
lt
。(求 解柱 BC 之有效長度係數時,請參考題二之 Alignment Chart。)(25 分) (柱邊界為固接(Fixed end)時 G 使用 1、為鉸接(hinged end)時 G 使用 10。)
以下公式僅提供參考:
相關試卷
114年 - 114 專技高考_結構工程技師:鋼結構設計#133713
114年 · #133713
113年 - 113 專技高考_結構工程技師:鋼結構設計#123967
113年 · #123967
112年 - 112 專技高考_結構工程技師:鋼結構設計#117665
112年 · #117665
111年 - 111 專技高考_結構工程技師:鋼結構設計#111797
111年 · #111797
110年 - 110 專技高考_結構工程技師:鋼結構設計#104227
110年 · #104227
109年 - 109 專技高考_結構工程技師:鋼結構設計#93294
109年 · #93294
109年 - 109 司法特種考試_三等_司法事務官營繕工程事務組、檢察事務官營繕工程組:結構設計(包括鋼筋混凝土設計與鋼結構設計)#90087
109年 · #90087
108年 - 108 專技高考_結構工程技師:鋼結構設計#80845
108年 · #80845
107年 - 107 專技高考 鋼結構設計#72981
107年 · #72981
106年 - 第二次專技高考/鋼結構設計#66504
106年 · #66504