阿摩線上測驗
登入
首頁
>
(工業)安全工程
> 102年 - 102年高等三級暨普通考普通_工業安全#25419
102年 - 102年高等三級暨普通考普通_工業安全#25419
科目:
(工業)安全工程 |
年份:
102年 |
選擇題數:
0 |
申論題數:
11
試卷資訊
所屬科目:
(工業)安全工程
選擇題 (0)
申論題 (11)
⑴風險(risk)
⑵爆轟(detonation)
⑶自燃點(autoignition temperature)
⑷惰化(inerting)
⑸化學反應性危害(chemical reactive hazard)
⑴指出以下兩種計算事件 A 發生機率的方法有何錯誤之處(亦即,說明使用該兩種 計算方法的前提為何)?(10 分)
方法一:
P
A
=P{X
1
+X
2
X
3
+X
2
X
4
}=P{X
1
}+P{X
2
X
3
}+P{X
2
X
4
}=0.1+0.2*0.2+0.2*0.3=0.20
方法二:
P
A
=P{X
1
+X
2
X
3
+X
2
X
4
}=1-(1-0.1)*(1-0.2*0.2)*(1-0.2*0.3)=0.1878
⑵計算事件 A 的正確發生機率。(10 分)
⑴使用純氮氣(10 分)
(2)使用含氧量 1.0%的氮氣(10 分),作為惰性氣體時所需的循環次數。
【已刪除】四、已知某儲放矽甲烷(分子量 32.12)的氣體鋼瓶(錶壓力為 800 kPa,溫度為常溫, 接頭處管線的管徑為 3 cm)於接頭管線處發生管線意外斷裂,致使矽甲烷氣體外洩 至常溫常壓的環境中,請估計矽甲烷氣體的最大外洩質量流率(kg/s)為多少?(矽 甲烷氣體的 γ 值為 1.4,小孔洩放係數 C
0
= 1.0)(20 分)
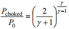
【提示】1判斷外洩氣體是否發生限流(choked flow)現象,可以利用下列公式:
2如果未發生限流現象時,外洩質量流率計算公式為:
3如果發生限流現象時,質量流率計算公式為:
式中:P
choked
為限流發生時下游氣體的絕對壓力(Pa),P
0
為鋼瓶內氣體的 絕對壓力(Pa),R
g
為理想氣體常數(8314 J/kg-mol),M 為氣體分子 量,T 為鋼瓶溫度(K),g
c
為單位轉換常數,A 為管線截面積(m2 )。
【已刪除】五、己烷(Hexane)、甲烷(Methane)與乙烯(Ethylene)個別的燃燒界限資料如下表所 示。今已知某可燃混合物內含有 5 vol %己烷、10 vol %甲烷、15 vol %乙烯與 70 vol % 空氣,請計算該混合物的燃燒上界(UFL)與燃燒下界(LFL),並判斷該混合物 是否可燃(請說明理由)。(20 分)