所屬科目:(工業)安全工程
一、參考下圖的失誤樹,請計算圖中編號 2001 的頂上事件(Top Event)之最小切集。
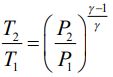
二、理想氣體在絕熱壓縮的過程中滿足以下關係:其中:T1、T2分別為氣體壓縮前及壓縮後的溫度(K); P1、P2 分別為氣 體壓縮前及壓縮後的絕對壓力(kPa)。γ =為該氣體的定壓比熱及定容比熱的比熱比(-)。某壓縮機將氣體的正戊烷()由表壓 1 大氣壓、25℃的條件壓縮至 表壓 30 大氣壓,正戊烷的 γ =1.36 。某 C 牌潤滑油的自燃溫度(Auto- ignition Temperature, AIT)為 400℃,請問此壓縮機是否可以採用 C 牌潤滑油?
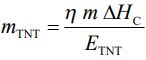
三、某工廠希望新增一座總容量為 1000 公斤液態丙烷(C3H8)的儲槽。由於 擔心儲槽破裂後會與空氣混合,導致易燃混合物爆炸的情境,必須考慮 該儲槽設置位置與控制室間的距離大小。已知控制室可以承受的側向超 壓(Side-on overpressure, p0 )為 3 psi,請利用下圖的關係計算控制室與液態丙烷儲槽間應有的最小距離為多少公尺?[提示] 爆炸情境下的刻度壓力(scaled pressure)、大氣壓力= 14.7 psi。爆炸情境下的刻度距離(scaled distance),其中 r 為距爆炸中心的距離(m), 為該可燃物的 TNT 當量質量,計算方式為:,m為可燃物的質量(kg)、η為爆炸效率(-)、△Hc 為 該可燃物的燃燒熱(kJ/kg)、=4686 kJ/kg 。對於液態丙烷(分子量為 44.1)有η=0.05、△Hc= 2043.1 kJ/mol 。(請注意燃燒熱的使用單位)
(一)失誤率(Failure rate)
(二)失誤機率(Failure probability)
(三)不可用度(Unavailability)
(四)冗餘設計(Redundant design)
(五)可靠度(Reliability)