阿摩線上測驗
登入
首頁
>
工程力學(包括流體力學與材料力學)
> 102年 - 102 公務升官等考試_薦任_土木工程:工程力學(包括流體力學與材料力學)#25833
102年 - 102 公務升官等考試_薦任_土木工程:工程力學(包括流體力學與材料力學)#25833
科目:
工程力學(包括流體力學與材料力學) |
年份:
102年 |
選擇題數:
0 |
申論題數:
5
試卷資訊
所屬科目:
工程力學(包括流體力學與材料力學)
選擇題 (0)
申論題 (5)
【已刪除】一、有一 T 形斷面懸臂梁 AB 受載重如圖所示,試計算梁固定端處 a 點之最大主軸應力 σ
1
、最小主軸應力 σ
2
及最大剪應力 τ
max
。(20 分)
【已刪除】二、已知圖示重物 W 之重量為 500 N,力矩 C 為 2000 N-m。若所有桿件重量可忽略不 計,試利用虛功法求繫於 a 點處繩子之內力。(20 分)
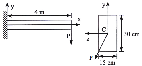
【已刪除】三、有一傾斜力 P 作用於矩形斷面懸臂梁之自由端,此力穿越矩形斷面之對角線如圖所 示。試求:⑴梁斷面的中性軸之位置,⑵如梁之容許正向應力為 σallow = 20 MPa,則 P 力之最大值可為何?(20 分)
【已刪除】四、如圖所示,水平矩形渠道,渠道寬 b = 1.5 m,上游水深 h
1
= 0.2 m,流速 V
1
= 4 m/sec, 求此水躍過程中單位時間的能量損失。(20 分)
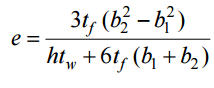
【已刪除】五、試 推 導 下 圖 所 示 斷 面 之 剪 力 中 心 S 至腰版( web )中心線之距離為
。推導時,請繪示剪應力分佈圖。(20 分)
相關試卷
114年 - 114 公務升官等考試_薦任_土木工程:工程力學(包括流體力學與材料力學)#133245
114年 · #133245
113年 - 113 地方政府公務特種考試_三等_土木工程:材料力學#124539
113年 · #124539
112年 - 112 公務升官等考試_薦任_土木工程:工程力學(包括流體力學與材料力學)#117162
112年 · #117162
112年 - 112 原住民族特種考試_三等_土木工程:工程力學(包括流體力學與材料力學)#116539
112年 · #116539
111年 - 111 原住民族特種考試_三等_土木工程:工程力學(包括流體力學與材料力學)#110630
111年 · #110630
110年 - 110 公務升官等考試_薦任_土木工程、結構工程:工程力學(包括流體力學與材料力學)#103690
110年 · #103690
110年 - 110 原住民族特種考試_三等_土木工程:工程力學(包括流體力學與材料力學)#101004
110年 · #101004
109年 - 109 原住民族特種考試_三等_土木工程:工程力學(包括流體力學與材料力學)#90831
109年 · #90831
108年 - 108 公務人員升官等公務薦任_土木工程:工程力學(包括流體力學與材料力學)#80522
108年 · #80522
108年 - 108 特種考試原住民族三等 工程力學(包括流體力學與材料力學)#79058
108年 · #79058