所屬科目:高中◆資優◆生物
2. 下 列 紅 綠 色 盲 譜 系 (註 : 紅 綠 色 盲 為 性 聯 隱 性 遺 傳 )中 , 何 者 錯 誤 ? ( 設 □ 表 男 性 色 覺 正 常 , ○ 表 女 性色覺正常,■表男性色盲,●表女性色盲) (A) (B) (C)(D)
5. 某 生 物 體 細 胞 (2n)中 的 染 色 體 如 圖 一 , 下 列 敘 述 何 者 正 確 ? (A)若 A染 色 體 上 具 有 決 定 是 否 有 美 人 尖 的 基 因,則 C染 色 體 上 也 具 有 決 定 是 否 有 美 人 尖 的 基 因 (B) B與 D為 非 同 源 染 色 體 , 同 時 出 現 在 精 細 胞 (n)中 的 機 率 為 1/4 (C)A與 B同 時 出 現 在 精 細 胞 (n)中 的 機 率 為 1/4 (D)A與 D絕 不 可 能 同 時 出 現 在 卵 細 胞 (n)中 。
8. 圖 二 為 一 海 底 地 形 剖 面 示 意 圖,其 中 高 低 潮 線 間 距 係 誇 大 表 示,以 利 讀 圖。參 考 本 圖 所 示 的 甲、乙、丙、丁 四 海 域 的 位 置,選 出 正 確 選 項 。 (A)鯨 豚 主 要 出 現 在 甲 區 (B)乙 區 海 洋 生 物 的 物 種 多 樣 性 最 少 (C) 丙 區 的 主 要 生 產 者 為 浮 游 藻 類 (D)丁 區 不 具 生 產 者 只 有 消 費 及 分 解 者。
20. 科 學 家 針 對 五 種 不 同 品 種 的 水 稻 ( 甲 、 乙 、 丙 、 丁 及 戊 ) 品種 基因型 數量(株) 數量(株) 基因型(種類) 進行族群中基因種類之研究,在各品種的個體間隨機取(種類) 樣,檢 測 六 個 基 因 的 基 因 型 種 類。結 果 顯 示 各 品 種 的 每 個 基 因 平 均 都 有 十 種 不 同 的 基 因 型。種 植 十 代 後,再 於 各 品種 的 個 體 間 隨 機 取 樣,檢 測 同 樣 六 個 基 因 的 基 因 型 種 類 , 得出平均每一個基因所具有的基因型種類數如右表所示:試 問 下 列 敘 述 何 者 正 確 ? (A)種 植 十 代 後,五 種 不 同 品 種 的 水 稻 具 有 不 同 的 物 種 多 樣 性 (B)種 植 十 代 後,乙 品 丙 系 因 病 毒 感 染 引 發 疾 病 而 滅 絕 的 可 能 性 最 大 (C)丙 品 系 內親代的基因多樣性大於種植十代後子代的基因多樣性 (D)種 植 十 代 後 , 五 種 不 同 品 種 的 水 稻 中 甲 的 基 因 多 樣 性 最低。
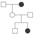
24. 半 乳 糖 血 症 為 體 染 色 體 隱 性 疾 病 的 一 種 , 本 症 會 導 致 半 乳 糖 在 肝 臟 堆 積 及 心 智 遲 滯。圖 四 為 某 半 乳 糖 血 症 家 族 譜 系 圖。下 列 有 關 甲 與 乙 的 敘 述 , 哪 一 項 正 確 ? (A)甲 為 正 常 的 個 體,則 Aa的 機 率 是 2/3,為 AA的 機 率 是 1/3 (B)乙 為 aa的 機 率 是 1/2, 為 Aa的 機 率 是 1/2 (C)若 甲 為 Aa且 與 患 病 者 結 婚,其 子 女 患 病 率 為 1/4 (D)乙 與 正 常 者 AA 結 婚,其 子 女 患 病 率 為 1/2。
25. 若 n、2n 分別代表染色體的單倍體和二倍體,則附圖中,何者代表減數分裂過程中 染色體的變化情形? (A) (B) (C) (D)
26. 酵素在生化反應時,其活性會受到反應時的環境影響。現有甲、乙兩種性質相似的酵素,為了要比較兩者對溫度及 酸鹼值的容忍程度(即仍保持有活性的範圍)的差異,而作了活性測定,結果如圖五。圖五左圖是測定溫度對酵素 活性之影響;圖五右圖是在30°C狀態下,測定酸鹼值(pH值)對酵素活性之影響。根據兩圖中測定酵素活性之結果, 下列敘述何者正確? (A)甲酵素對溫度的容忍程度較乙酵素高 (B)甲酵素活性最佳的溫度較乙酵素高 (C)在pH 值6~7之環境下,甲酵素活性較乙酵素高 (D)在pH值6~7之環境下,甲酵素幾乎測不到活性。
27. 圖六為葉的切面構造。哪一構造負責輸送水分及無機鹽? (A)丁(B)己(C)庚(D)辛。
29. 細胞的主要部分有細胞核、細胞質與細胞膜,細胞內的胞器如圖七所示,下列相關敘述,何者正確? (A)b可將養 分轉變為能量 (B)動、植物細胞皆具有c構造 (C) d為細胞的貯藏室 (D)此細胞應為植物表皮細胞。
31. 圖八為植物體莖的橫切面。何種植物的莖具有類似的維管束排列? (A)玉米 (B)松樹(C)榕樹 (D)向日葵。
32. 圖九為物質在植物中吸收和運輸的示意圖,代號①~⑥表物質,甲、 乙表運輸方式,下列敘述何者正確? (A)①為水或無機鹽類 (B)④為氧氣,⑤為二氧化碳 (C)⑥為養分,只能由上而下運輸 (D) 甲、乙皆須耗能。
33. 某生進行細胞滲透壓的實驗,他將適量猪的紅血球放入甲、乙、丙及丁四種溶液中, 經過半小時之後,結果如圖十。試依照紅血球外形的變化來判斷,下列敘述何者錯誤? (A)甲溶液中紅血球脹破的原因是因溶液中的水擴散進入紅血球內 (B)乙溶液可能是 猪的等張溶液,但不是青蛙的等張溶液 (C)丁溶液的濃度高於乙溶液 (D)四種溶液 的濃度最高為丙,最低為甲。
34. 圖十一為樹木的橫切面圖,請問下列敘述何者正確? (A)A與B之間有形成層 (B)AC生長於 氣溫較低、雨量較少的季節 (C)BD於生長季節的晚期形成 (D)由附圖可判斷此樹木年齡大 於十歲。
35. 圖十二光合作用示意圖,甲、乙代表反應名稱,a~g代表某些化合物。下列敘述何者正確? (A)甲反應需要光的參與;乙反應需要在黑暗中進行 (B)甲反應會受二氧化碳濃度所影響; 乙反應則不會受二氧化碳濃度所影響 (C)a從氣孔進入後,所產生的b亦將從氣孔離開 (D) 此光合作用過程主要進行的場所為葉肉組織,也可於保衛細胞中進行。
36. 圖十三為人體血液循環示意圖,圖中甲、乙、丙、丁分別為血管,根據圖示代號,哪一條血 管是動脈且其血液中所含氧氣很高? (A)甲 (B)乙 (C)丙 (D)丁。
42. 讓健康者和糖尿病患同時空腹口服葡萄糖,服用量按每人每公斤體重1克計算。隨後每隔一段時間,測定兩人的血糖 濃度變化如下圖,則下列( A )( B )( C )( D )哪一個圖形最能代表二人血液中胰島素的變化?[縱軸:胰島素濃度(mg / 100 mL);橫軸:口服後時間(小時)] (A)(B) (C) (D)
45. 「王健民看到捕手暗號,投出伸卡球三振打者」,神經衝動傳遞途徑包括:①眼睛,②脊髓,③手部肌肉,④大腦皮 層,⑤感覺神經,⑥運動神經,其先後順序應為下列何者? (A)①⑤②⑥④③ (B)①⑤②④⑥③ (C)①⑥④⑤②③ (D)①⑤④②⑥③。
46. 圖十四為人體的部份構造,內含部分神經組織,下列有關各代號的敘述,何者正確? (A) 甲和乙為中樞神經,癸為周圍神經 (B)丙和丁為中樞神經,癸為周圍神經 (C)甲與腦部相 連,控制四肢的反射 (D)癸有三十一對,分布於軀幹、四肢及內臟
50. 將心房及心室收縮或舒張的各種可能組合整理如左下表,下列何者為正確的心搏過程? (A)(B)(C)(D)