阿摩線上測驗
登入
首頁
>
技師◆大地測量學
> 102年 - 102 專技高考_測量技師:大地測量學#25858
102年 - 102 專技高考_測量技師:大地測量學#25858
科目:
技師◆大地測量學 |
年份:
102年 |
選擇題數:
0 |
申論題數:
5
試卷資訊
所屬科目:
技師◆大地測量學
選擇題 (0)
申論題 (5)
【已刪除】一、如圖一為 1"子午線與平行圈弧長隨緯度從 0°至 90°變化之曲線,請列出參考橢球體 之子午圈曲率半徑(M)與卯酉圈之曲率半徑(N)公式,並就赤道、南北極及一 般情形比較 M 與 N 之大小。(20 分)
【已刪除】二、如圖二之距離交會定位: 已知 A, B 二點坐標為:
; 觀測二段距離
; 求 P 點坐標 X
P
Y
P
, 及其標準差σ
Xp
σ
Yp
, 。
試擇一可行方法,詳述其計算程序。(20 分)
三、在 A, B 二點間實施精密逐差水準測量,其高差的總和,將不等於正高差的和;或往 返高程差觀測值的閉合差不為零,請解釋其物理意義?若精密水準測量施測中結合 重力測量,請說明其目的與具體的應用。(20 分)
四、最小二乘配置(Least Squares Collocation)平差模式在近代大地測量中有其重要的 應用。請說明該平差模式之理論及方法的主要特性。若將該法應用於目前實務中的 舊地籍坐標轉換為 TWD97 坐標,或數值高程模型(DEM)之內插加密,請討論該 平差模式的適用性。(20 分)
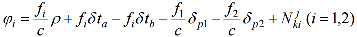
【已刪除】五、在 GPS 衛星定位測量中,使用二個載波頻率
分別量測其相位
ϕi
(i =1,2) 為:
式中 c 為光速; ρ 為地面點至衛星的距離;
分別為衛星與接收儀的時間誤差;
分別為電磁波於電離層與對流層遲滯的距離誤差;
分別為 f
1
, f
2
頻率對第 j 顆衛星第 k 個接收儀所測得的載波相位; 請問如何利用該雙頻觀測值進行週波脫落的偵測與修復?(20 分)