阿摩線上測驗
登入
首頁
>
研究所、轉學考(插大)-微積分
> 102年 - 102 淡江大學轉學考_商管組二年級:微積分#53130
102年 - 102 淡江大學轉學考_商管組二年級:微積分#53130
科目:
研究所、轉學考(插大)-微積分 |
年份:
102年 |
選擇題數:
0 |
申論題數:
12
試卷資訊
所屬科目:
研究所、轉學考(插大)-微積分
選擇題 (0)
申論題 (12)
【已刪除】(a)
【已刪除】(b)
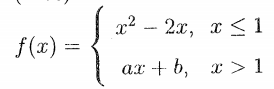
【已刪除】2. (10%) Find the constants a and b such that the function
is differentiable at x = 1.
3. If y =
,find dy/dx.
【已刪除】 (a)
【已刪除】(b)
【已刪除】 (c)
5. (10%) What is The Fundamental Theorem of Calculus?
【已刪除】(a)
【已刪除】(b)
, where a is a nonzero real number.
7. Use a double integral to find the area of the region bounded by 0 ≤ .x ≤ 8, y = 0, y = 2x and xy = 8.
8. A business sells 2000 units of a product per month at a price of $10 each. It can sell 250 more items per month for each $0.25 reduction in price. What price per unit will maximize the monthly revenue?
相關試卷
113年 - 113 國立嘉義大學_轉學生招生考試試題_(全校):微積分#122986
113年 · #122986
112年 - 112 國立臺灣大學_碩士班招生考試題:微積分(D)#130254
112年 · #130254
112年 - 112 國立陽明交通大學_碩士班入學招生試題_統計學研究所﹕微積分與線性代數#130252
112年 · #130252
112年 - 112 國立嘉義大學_轉學生招生考試試題:微積分#123297
112年 · #123297
112年 - 臺灣綜合大學系統112 學年度學士班轉學生聯合招生考試試題 微積分A#120563
112年 · #120563
112年 - 112 臺灣聯合大學系統(清華、陽交、中央 聯招)學士班轉學生考試_A3、A4、A6理工組:微積分#117689
112年 · #117689
112年 - 112 臺灣聯合大學系統(清華、陽交、中央三校聯招)學士班轉學生考試_A2商管組:微積分#117687
112年 · #117687
112年 - 112 國立高雄師範大學轉學生招生考試試題_電子工程學系二年級:微積分#116290
112年 · #116290
112年 - 112 國立高雄師範大學_轉學生招生考試試題_電機工程學系二年級:微積分#116289
112年 · #116289
111年 - 111 國立臺北大學_轉學生招生考試試題_經濟學系二年級:微積分#117728
111年 · #117728