所屬科目:教甄◆數學
1. 的值為何? (A) 1 (B) -1 (C) 2 (D) -2
2. 實系數二次方程式 2mx2 + (4m + 1)x + 2m = 0有兩相異實根,求m的範圍。 (A) $m <(B) (C)(D) 以上皆非
3. 下列何者最大? (A) √1 +√8 (B) √2 + √7 (C) √3 + √6(D) √4+√5
4. 圖形 x3 + y3 = 2 在 (1,1)的斜率為何? (A) -1 (B) 1 (C) 1/2 (D) 2
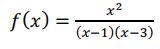
5. 函數圖形的垂直及水平漸近線共有幾條? (A) 1 (B) 2 (C) 3 (D) 4
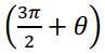
6. = ? (A) π (B) (C) (D)
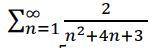
7. (A)(B)(C)(D) 發散
8. 「ECONOMIC」八個字母排列,有幾種不同的排法? (A) 8! (B) 6! (C) (D)
9. 7¹⁰² 的個位數為何? (A) 1 (B) 7 (C) 3 (D) 9
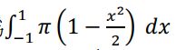
10. 對於橢圓 x² + = 1 的敘述何者正確? (A) 面積為 π (B) 週長為 (C) 繞 x 的旋轉體體積為 (D) 繞 x 的旋轉體的表面積為
11. 邊長為 3, 4, 5 的三角形,標號如圖。其中= 2。現在以 P 為圓心,將此三角形旋轉 90 度。求兩三角形重疊的面積為何? (A) 3/2 (B) 9/4 (C) 6/5 (D) 36/25
12. 展開式中,常數項為何? (A) 1/9 (B) -1/9 (C) 101/27 (D) -1001/81
13. = (A) -1 (B) 0 (C) 1 (D) 不存在
14. (1 + x + 2y + 3z)6 展開化簡後,會有幾項? (A) 24 (B) 18 (C) 84 (D) 360
15. 三角形三邊長分別為 4, 5, 6, 請問三角形內任意點至 3 邊距離平方和的最小值為何? (A) 50 (B) 225/44 (C) 189/49 (D) 289/50
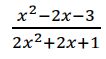
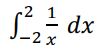
16. 積分式值為何? (A) 0 (B) -∞ (C) ∞ (D) 不存在
17. 下列關於三角函數的等式, 何者錯誤? (A) sin= cos θ (B) sin 2θ = 2 sin θ cos θ (C) cos(α - β) = cos α cos β + sin α sin β (D) sin 3θ = 3 sin θ - 4 sin³ θ
18. 頂點為 (0, 0), (1, 4), (2, 0), (3, 2), (-1, 1) 的凸五邊形面積為何? (A) 8 (B) 9 (C) 19/2 (D) 21/2
19. 假設 f(x) = cos(x²), 求 f⁽⁸⁾(0) 為何? (A) 1024 (B) 1680 (C) 1920 (D) 2048
20. 正二十面體有幾個頂點? (A) 12 (B) 20 (C) 8 (D) 6
21. (x + y)⁶ 的展開式中, 系數最大為哪一項? (A) 僅 x⁴y³ (B) x⁴y³ 與 x⁵y² 都是最大 (C) 僅 x⁵y² (D) x⁴y³ 與 x³y⁴ 都是最大
22. 某項試驗的成功機率是失敗的兩倍,隨機變數 X 代表一次試驗的成功次數, 請問 P(X = 0) 為何? (A) 0 (B) 1/3 (C) 2/3 (D) 1/2
23. 集合 Y = {(m,d)|m 月 d 日為合理日期(非潤年)},例如:(1,31) ∈ Y, (13,1) ∉ Y,(2,29) ∉ Y,則 |{31m + 12d|(m,d) ∈ Y}| 的值為何? (A) 182 (B) 183 (C) 184 (D) 365
24. 極坐標中兩點的距離為何? (A) 2 (B) 2√3 (C) 2√2 (D) 4
25. 極坐標方程式 r =中,θ = π 時的切線斜率為何? (A) 0 (B) 1 (C) π/2 (D) -π
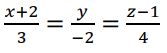
26. 空間中點 (3,-1,4) 到直線的距離為何? (A) 0 (B) √3 (C) √6 (D) √29
27. 圓 x² + y² = 1 繞直線 x = 2 旋轉所形成的甜甜圈,體積為何? (A) π² (B) 2π² (C) 4π² (D) 4π³
28. 平面 2x - 3y - 4z = 49 上的點,代入 f(x, y, z) = 2x² + y² + 3z² 的最小值為 何? (A) 29 (B) 14 (C) 147 (D) 289
29. 請問 2013!展開式中,末尾連續0的個數? (A) 402 (B) 482 (C) 500 (D) 501
30. 除以7的餘數為何? (A) 0 (B) 1 (C) 3 (D) 6
31. 從1,2,3,4,5,6,7 中挑五個出來排成一個五位數,且為奇數的情況有幾種? (A) 2520 (B) 1260 (C) 1440 (D) 1080
32. 某校學生人數不到 1000 人,在排隊時,若排成4路,會多出3人,排成5路會多出1人,排成6路會多出3人,排成8路會多出7人,11路會多出6人,請問該校學生人數為何? (A) 945 (B) 831 (C) 887 (D) 961
33. x > 0,且√2.52 − x² - √1.72 − x² = 1.2,請問x為何? (A) 1.5 (B) 1.7 (C) 1.9 (D) 2.1
34. , F₀ = F₁ = 1,求為何? (A) 0 (B) 1 (C) -1 (D)
35. 在一個立方體的面上塗上黑或白色,請問有幾種不同的塗法? (A) 7 (B) 8 (C) 9 (D) 10
36. x為實數,求的值最大為何? (A) -3 (B) -1 (C) 0 (D) 1
37. 1⁵ + 2⁵ + … + 102⁵ 除以4的餘數為何? (A) 0 (B) 1 (C) 2 (D) 3
38. 除以2013的餘數為何? (A) 1 (B) 17 (C) 1201 (D) 2012
39. 某人划船前往 15 公里遠的地方,若依他平常的速度划,則順流比逆流所需的時間少5小時,若依他平常速度的兩倍而划,順流比逆流所需的時間僅少1小時,請問水流的時速為多少公里? (A) 1 (B) 2 (C) 3 (D) 4
40. 恰有連續35個連續正整數,它們開根號後的整數部分皆相同,請問此整數為何? (A) 17 (B) 18 (C) 35 (D) 36