阿摩線上測驗
登入
首頁
>
機械設計
> 102年 - 102 高等考試_三級_機械工程:機械設計#29298
102年 - 102 高等考試_三級_機械工程:機械設計#29298
科目:
機械設計 |
年份:
102年 |
選擇題數:
0 |
申論題數:
5
試卷資訊
所屬科目:
機械設計
選擇題 (0)
申論題 (5)
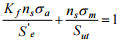
【已刪除】一、圖一的軸承受變動的軸向外拉力 P,變動範圍為 20000 N 到 33400 N。材料的抗拉 強度S
ut
為 615 MPa,軸向變動負荷的疲勞限應力(stress endurance limit, S
'
e)為0.45S
ut
。該軸於圓角 r=1.3 mm 處的疲勞應力集中因子(fatigue stress concentration factor) 為 1.87,應用古德曼策略(Goodman criterion),試問:於軸肩圓角處有無限壽命的設計時,安全係數(safety factor)為何?(15 分) 於軸肩以外的部分,有無限壽命的設計時,安全係數為何?(10 分) (提示:
)
【已刪除】二、 機械轉軸上裝置的飛輪,基本目的為何?(7 分) 如何實務設計飛輪結構,使其得到最大效果?(8 分) 在一個循環裡(轉動360
。
),某實心圓盤狀飛輪(solid round disk)的動能K
e
為 170 N-m,平均速度是 700 rpm,採用的波動係數(coefficient of fluctuation)C
f
為 0.04。該飛輪的材質為低碳鋼,密度為 7860 kg/m
3
,厚度為 25 mm,試問飛輪 所需的直徑?(10 分)(提示:
)
【已刪除】三、某輪轂(hub)材質的降伏強度 S
y
為 97 MPa,以 的截面,長度為 20 mm,降伏 強度 S
y
為 295 MPa 的鋼製鍵(key),連結直徑為 35 mm 鋼製的軸,如圖二所示。 當此輪軸需傳遞 40 N-m 的扭力,且安全係數為 3 時,試問: 考慮鍵受到剪應力,設計鍵的需要寬度 w?(13 分) 考慮輪轂受到壓應力,設計鍵的需要高度 h?(12 分) (注意:剪應力允許值為0 4. Sy ,壓應力允許值為0 9. Sy )
【已刪除】四、 以座標 x,建構圖三中之機械系統自然振動(free vibration)運動方程式?(10 分) 試問該系統之自然頻率(natural frequency)?(5 分)
五、 一般運動控制器(motion controller)有那三種型式?(5 分) 簡述一般運動控制器的主要功能?(5 分)
相關試卷
114年 - 114 地方政府公務特種考試_三等_機械工程:機械設計#134728
114年 · #134728
114年 - 114 地方政府公務特種考試_四等_機械工程:機械設計概要#134719
114年 · #134719
114年 - 114 公務、關務升官等考試_薦任_機械工程、技術類(選試機械設計)-關務:機械設計#133265
114年 · #133265
114年 - 114 交通事業港務升資考試_員級晉高員級_技術類(選試機械設計)-港務:機械設計#133244
114年 · #133244
114年 - 114 高等考試_二級_機械工程:機械設計學#131583
114年 · #131583
114年 - 114 原住民族特種考試_四等_機械工程:機械設計概要#130917
114年 · #130917
114年 - 114 高等考試_三級_機械工程:機械設計#128741
114年 · #128741
114年 - 114 普通考試_機械工程:機械設計概要#128447
114年 · #128447
114年 - 114 身心障礙特種考試_三等_機械工程:機械設計#126646
114年 · #126646
114年 - 114 身心障礙特種考試_四等_機械工程:機械設計概要#126589
114年 · #126589