阿摩線上測驗
登入
首頁
>
高等輸送現象
> 102年 - 102 高等考試_二級_化學工程:高等運送現象#44023
102年 - 102 高等考試_二級_化學工程:高等運送現象#44023
科目:
高等輸送現象 |
年份:
102年 |
選擇題數:
0 |
申論題數:
8
試卷資訊
所屬科目:
高等輸送現象
選擇題 (0)
申論題 (8)
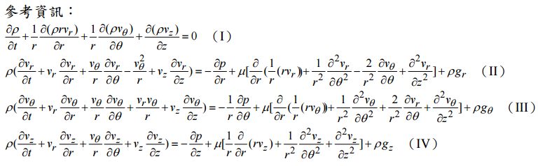
⑴圓柱表面的流體切線速率與法 線速率。(5 分)
⑵圓柱表面的壓力分布。(5 分)
⑶圓柱所受的拖曳力。(10 分)
⑷圓柱所受,垂直於其運動方向的力。(10 分)
⑴求流體流速分布。(15 分)
⑵流體流速分布是否可能有反曲點?若可能,如何估計?若不可能,為什麼?(15 分)
三、因寒流來襲,某地區的氣溫由 T
0
(高於攝氏零度)驟降至 T
1
(低於攝氏零度)。若 希望埋於地表下方 L 處之水管內的水能夠維持至時間 W 仍未開始結冰,如何估計 L? 須寫出描述問題的方程式及相關的條件,並定義所使用的符號,否則不予計分。 (20 分)
【已刪除】四、考慮以一溶液吸收氣相中的某成分 A,已知 A 在液相內會進行一階化學反應,速率 常數為 k。令 A 在液相內的擴散係數為 D,溶解度為 C
i
。假設 A 在氣-液界面處之 濃度維持飽和濃度,且一開始液相內不含 A,寫出描述液相內 A 的濃度 C 隨垂直於 氣-液界面之距離 z,及時間 t 的方程式與相關的條件。(10 分)若於時間 T 內,A 之吸收量為 W,如何估計 k?(10 分)
相關試卷
111年 - 111 高等考試_二級_化學工程:高等輸送現象#111027
111年 · #111027
104年 - 104 高等考試_二級_化學工程:高等運送現象#41864
104年 · #41864
101年 - 101 高等考試_二級_化學工程:高等運送現象#44623
101年 · #44623
97年 - 97 高等考試_二級_化學工程:高等運送現象#48856
97年 · #48856