阿摩線上測驗
登入
首頁
>
試驗設計
> 103年 - 103 專技高考_農藝技師:試驗設計#36805
103年 - 103 專技高考_農藝技師:試驗設計#36805
科目:
試驗設計 |
年份:
103年 |
選擇題數:
0 |
申論題數:
8
試卷資訊
所屬科目:
試驗設計
選擇題 (0)
申論題 (8)
⑴請利用學生氏 t 檢定,在 0.05 的顯著水準下,檢定兩台儀器測定值的族群平均間 是否有顯著差異存在?(10 分) 註:t
(0.95,5)
= 2.02; t
(0.95,10)
= 1.81; t
(0.975,5)
= 2.57; t
(0.975,10)
= 2.23
⑵將此實驗視為逢機完全區集設計(RCBD)試驗,請進行變方分析,在 0.05 的顯 著水準下,檢定兩台儀器測定值的顯著性。(15 分) 註:F
(0.95,1,5)
= 6.61; F
(0.95,1,10)
= 4.96; F
(0.95,2,5)
= 5.79; F
(0.95,2,10)
= 4.10
⑴ 假設品種為固定型因子( fixed-effects factor ),請分別計算 μ
4
− μ
1
和 μ
1
-2μ
2
+ μ
3
的 0.95 信賴區間。(15 分) 註:t
(0.95,3)
= 2.35; t
(0.95,6)
= 1.94; t
(0.95,9)
= 1.83; t
(0.95,12)
= 1.78 t
(0.975,3)
= 3.18; t
(0.975,6)
=2.45; t
(0.975,9)
= 2.26; t
(0.975,12)
= 2.18
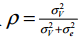
【已刪除】⑵假設品種為逢機型因子(random-effects factor),令 σ
V
2
及 σ
e
2
分別代表品種和機差 的變方,請計算
之 0.9 信賴區間。(10 分) 註:F
(0.95,3,12)
= 3.49; F
(0.95,12,3)
= 8.74
⑴請對試驗數據進行變方分析,在 0.05 的顯著水準下,分別檢定品種和肥料兩個 因子的主效應及其交感效應的顯著性。(15 分) 註:F
(0.95,1,3)
= 10.13; F
(0.95,1,4)
= 7.71; F
(0.95,1,5)
= 6.61; F
(0.95,1,6)
= 5.99
⑵請繪製品種和肥料的交感圖(interaction plot),並詮釋結果。(10 分)
四、⑴請詳述設計試驗時,執行重複(replication)、區集(blocking)、逢機化 (randomization)的主要目的。(15 分)
⑵請詳述試驗資料進行變方分析(ANOVA)的主要目的。(10 分)
相關試卷
114年 - 114 地方政府公務特種考試_三等_農業技術:試驗設計#134716
114年 · #134716
114年 - 114 專技高考_農藝技師:試驗設計#133681
114年 · #133681
114年 - 114 公務升官等考試_薦任_農業技術:試驗設計#133253
114年 · #133253
114年 - 114 高等考試_二級_農業技術:試驗設計#131566
114年 · #131566
114年 - 114 原住民族特種考試_三等_農業技術:試驗設計#130951
114年 · #130951
114年 - 114 高等考試_三級_農業技術:試驗設計#128714
114年 · #128714
113年 - 113 地方政府公務特種考試_三等_農業技術:試驗設計#124510
113年 · #124510
113年 - 113 專技高考_農藝技師:試驗設計#123930
113年 · #123930
113年 - 113 高等考試_二級_農業技術:試驗設計#123074
113年 · #123074
113年 - 113 原住民族特種考試_三等_農業技術:試驗設計#122671
113年 · #122671