阿摩線上測驗
登入
首頁
>
工程數學(應用數學, 線性代數、微分方程、複變函數與機率)
> 103年 - 103 專技高考_電機工程技師:工程數學(包括線性代數、微分方程、複變函數與機率)#29222
103年 - 103 專技高考_電機工程技師:工程數學(包括線性代數、微分方程、複變函數與機率)#29222
科目:
工程數學(應用數學, 線性代數、微分方程、複變函數與機率) |
年份:
103年 |
選擇題數:
0 |
申論題數:
10
試卷資訊
所屬科目:
工程數學(應用數學, 線性代數、微分方程、複變函數與機率)
選擇題 (0)
申論題 (10)
一、考慮一個三階微分方程式 y ′′′ + Ay ′′ + By ′ + Cy = 0,其中 A、B、C 都是實數。已知 y1(x)=e
-2x
sin3
x
和 y2(x)=e
-3x
都是這個微分方程式的解。求 y ′′′ + Ay ′′ + By ′ + Cy =1 的通解。(20 分)
⑴ X
2
的期望值(Expected Value)E [X
2
]
⑵ E[X
5
]
⑶E[Y]
⑷E [Y
2
]
⑴找出
f
(z)在複數平面可以微分的區域。(10 分)
【已刪除】⑵求
f (z) 。(10 分)
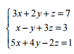
【已刪除】四、以矩陣方式,解右列聯立方程式
。(10 分)
五、考慮二個聯立方程式 ⎪ ⎩ ⎪ ⎨ ⎧ + − = − + = + − = 5 2 0 4 0 2 0 : x y z x y z x y z A , ⎪ ⎩ ⎪ ⎨ ⎧ − + − = − + = + + = 2 2 0 2 0 0 : x y z x y z x y z B 。那一個聯立方程式 有不全為 0 的解?也就是至少會有一個解 ⎟ ⎟ ⎟ ⎠ ⎞ ⎜ ⎜ ⎜ ⎝ ⎛ ≠ ⎟ ⎟ ⎟ ⎠ ⎞ ⎜ ⎜ ⎜ ⎝ ⎛ 0 0 0 z y x ?請適當說明。(10 分)
六、求逆時針方向的線積分 ∫ − + + C (x 3y)dx (4x y)dy ,其中C路徑是一個四個頂點分別 是(−2,0),(3,0),(3,2),(−2,2)的長方形的邊界(Boundary)。(20 分)
相關試卷
114年 - 114 專技高考_電機工程技師:工程數學(包括線性代數、微分方程、複變函數與機率)#133679
114年 · #133679
114年 - 114 專技高考_電子工程技師:工程數學(包括線性代數、微分方程、向量分析、複變函數與機率)#133677
114年 · #133677
114年 - 114 調查特種考試_三等_電子科學組:工程數學#129578
114年 · #129578
114年 - 114 國家安全情報特種考試_三等_電子組(選試英文):工程數學#127780
114年 · #127780
113年 - 113 專技高考_電子工程技師:工程數學(包括線性代數、微分方程、向量分析、複變函數與機率)#123976
113年 · #123976
113年 - 113 專技高考_電機工程技師:工程數學(包括線性代數、微分方程、複變函數與機率)#123971
113年 · #123971
113年 - 113 調查特種考試_三等_電子科學組:工程數學#122110
113年 · #122110
113年 - 113 身心障礙特種考試_三等_電力工程:工程數學#119517
113年 · #119517
112年 - 112 地方政府特種考試_三等_電力工程、電子工程:工程數學#118376
112年 · #118376
112年 - 112 專技高考_電機工程技師:工程數學(包括線性代數、微分方程、複變函數與機率)#117639
112年 · #117639