阿摩線上測驗
登入
首頁
>
研究所、轉學考(插大)◆工程數學
> 103年 - 103 淡江大學 轉學考 工程數學#55465
103年 - 103 淡江大學 轉學考 工程數學#55465
科目:
研究所、轉學考(插大)◆工程數學 |
年份:
103年 |
選擇題數:
0 |
申論題數:
5
試卷資訊
所屬科目:
研究所、轉學考(插大)◆工程數學
選擇題 (0)
申論題 (5)
1. Solve(sin x cos y)dx + (cos x sin y)dy = 0. (20%)
2. Solve y''+3y'- 4y=0, y(0) = 2, y'(0) = 1.(20%)
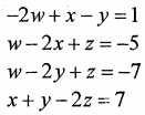
3. Solve
by Cramer
,
s rule. (20%)
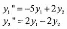
4. Solve
by considering it as eigenvalue problem. (20%)
5. Find the Fourier sine transform and Fourier cosine transform of e
-ax
,a>0. (20%)