阿摩線上測驗
登入
首頁
>
鋼筋混凝土學與設計
> 103年 - 103 高等考試_三級_土木工程:鋼筋混凝土學與設計#31184
103年 - 103 高等考試_三級_土木工程:鋼筋混凝土學與設計#31184
科目:
鋼筋混凝土學與設計 |
年份:
103年 |
選擇題數:
0 |
申論題數:
6
試卷資訊
所屬科目:
鋼筋混凝土學與設計
選擇題 (0)
申論題 (6)
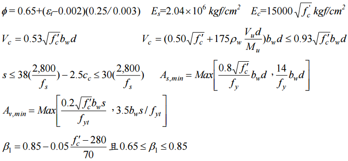
【已刪除】下列試題必須依照中國土木水利學會「混凝土工程設計規範(土木 401-100)」作答, 否則不計分。 可能使用之公式,但不限於:
一、一矩形梁寬 30 cm,h = 70 cm,試求在只有拉力筋時,依照規範規定,最小設計彎 矩強度
M
n
,
min
及最大設計彎矩強度
M
n
,
max
為何?已知 d=6.5 cm, f'
c
=350kgf/cm
2
,f
y
=4,200 kgf/cm
2
。。(25 分)
【已刪除】二、同上梁,若無剪力筋時,可承受之剪力
Vn 為何?配置最小剪力筋時,該斷面可承 受剪力
Vn 為何?該斷面可承受之最大剪力
Vn 為何?在此時其剪力鋼筋之間距為何? (剪力鋼筋為 D10,d
b
=0.953cm,A
b
=0.71cm
2
)(25 分)
【已刪除】三、同上梁,在考慮開裂及施工性時,若主筋為 D32(d
b
=3.22cm,A
b
=8.143cm
2
),剪 力筋為 D10,在單層鋼筋時,可求得最大鋼筋數目及最小鋼筋數目,求對應之
Mn。 (假設最大粗粒料粒徑為 2.5cm)(25 分)
(一)偏心=0 時之 P
n
。(5 分)
(二)中性軸位於圓心左側 10cm 時之 P
n
與 M
n
,中性軸平行於鋼筋 2-2 之連線(可忽略
(三)鋼筋 2 及鋼筋 3 之效應)。(10 分) 中性軸位於圓心右側 10cm 時之 P
n
與 M
n
,中性軸平行於鋼筋 2-2 之連線(可忽略鋼筋 2 及鋼筋 3 之效應)。(10 分)
相關試卷
114年 - 114 地方政府公務、離島地區公務特種考試_三等_土木工程:鋼筋混凝土學與設計#134753
114年 · #134753
114年 - 114 高等考試_三級_土木工程:鋼筋混凝土學與設計#128726
114年 · #128726
113年 - 113-2 國營臺灣鐵路股份有限公司_從業人員甄試試題_第9階-技術員-土木工程:鋼筋混凝土學與設計概要#137156
113年 · #137156
113年 - 113 國營臺灣鐵路股份有限公司_從業人員甄試_第8階-助理工程師-土木工程:鋼筋混凝土學與設計#137104
113年 · #137104
113年 - 113-2 國營臺灣鐵路股份有限公司_從業人員甄試_第8階-助理工程師-土木工程:鋼筋混凝土學與設計#137090
113年 · #137090
113年 - 113-2 國營臺灣鐵路股份有限公司_從業人員甄試_第 9 階-技術員-土木工程:鋼筋混凝土學與設計概要#135450
113年 · #135450
113年 - 113 地方政府公務、離島地區公務特種考試_三等_土木工程:鋼筋混凝土學與設計#124342
113年 · #124342
113年 - 113 高等考試_三級_土木工程:鋼筋混凝土學與設計#121483
113年 · #121483
113年 - 113 國營臺灣鐵路股份有限公司_從業人員甄試_第 9 階-技術員-土木工程:鋼筋混凝土學與設計概要#119089
113年 · #119089
112年 - 112 地方政府特種考試_三等_土木工程:鋼筋混凝土學與設計#118382
112年 · #118382