阿摩線上測驗
登入
首頁
>
控制系統
> 103年 - 103 高等考試_二級_電力工程:控制系統#43075
103年 - 103 高等考試_二級_電力工程:控制系統#43075
科目:
控制系統 |
年份:
103年 |
選擇題數:
0 |
申論題數:
4
試卷資訊
所屬科目:
控制系統
選擇題 (0)
申論題 (4)
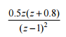
【已刪除】一、給予系統的轉移函數如所示,試寫出其控制正規方程式。(25 分)
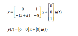
【已刪除】二、給予系統的動態方程式
試求對於參數 k 轉移函數之靈敏度。(25 分)
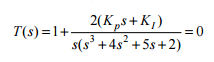
【已刪除】三、給予系統的特徵方程式如所示,試求閉合迴路系統穩定時 K
p
, K
I
之範圍。(25 分)
【已刪除】四、試求下列轉移函數之狀態模式。(25 分)
相關試卷
114年 - 114 高等考試_二級_電力工程:控制系統#131606
114年 · #131606
113年 - 113 高等考試_二級_電力工程:控制系統#123078
113年 · #123078
112年 - 112 高等考試_二級_電力工程:控制系統#116766
112年 · #116766
111年 - 111 高等考試_二級_電力工程:控制系統#111038
111年 · #111038
110年 - 110 高等考試_二級_電力工程:控制系統#101931
110年 · #101931
109年 - 109 高等考試_二級_電力工程:控制系統#91548
109年 · #91548
108年 - 108 高等考試_二級_電力工程:控制系統#79579
108年 · #79579
107年 - 107 第十八屆TAIROA社團法人台灣智慧自動化與機器人協會_自動化工程師證照考試_Level 2/機器人中階:控制系統#72749
107年 · #72749
107年 - 107 高等考試_二級_電力工程:控制系統#72396
107年 · #72396
106年 - 106 高等考試_二級_電力工程:控制系統#65249
106年 · #65249