所屬科目:奧林匹亞化學
2. 己知下列反應 則 CH4(g) + 2 O2(g) → CO2(g) + 2 H2O(l) 之反應熱為多少 kcal? (A) – 212 (B) – 180 (C) – 144 (D) – 100 (E) - 316
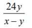
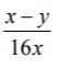
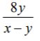
5. 某金屬之原子量為 w ,若取該三價金屬之氧化物 x 克,將其完全還原後,可得 y 克金屬。 試問該金屬的原子量 w 可以用下列的哪一式子表示? (A) (B) (C)(D) (E)
6. 今有NO與NO2的混合氣體 5.0公升,若用同溫同壓的氨氣 5.0公升,恰好可使該混合氣體 完全反應,變成N2與H2O。試問該混合氣體中,NO與NO2的莫耳比為何? (A) 1: 1 (B) 1: 2 (C) 1: 3 (D) 3: 1 (E) 2: 1
12. 在 25° C 時,方程式 CO2(g) → CO2(aq)的平衡常數 K,其中 CO2(aq)的濃度單位為 M,CO2(g)的 壓力單位為 atm,則下列敘述何者有誤? (A) 若溫度不變,二氧化碳的壓力加大,則二氧化碳在水中的溶解度增加,K 值變大 (B) 在 25o C、1 atm 的純二氧化碳下,二氧化碳在鹼性的 NaOH(aq)中的溶解度大於 K M (C) 在 25° C、1 atm 的空氣下,水中的二氧化碳濃度小於 K M (D) 若二氧化碳的壓力不變,溫度增高,則二氧化碳在水中的溶解度減少,K 值變小 (E) 在 25° C、1atm 的純二氧化碳下,二氧化碳在水中的溶解度為 K M
14. 在室溫下,一放熱反應 X→Y,其正反應速率 p、正反應速率常數 q、平衡常數 K,則下 列敘述何者正確? (A) 溫度變為 10℃ ,則 p、q、K 均變小 (B) 加入催化劑時,p、q、K 均不變 (C) 減少 X 的濃度,則 p、q 變小,但 K 不變 (D) 溫度變為 60℃ ,則 p、q 均變大,但 K 變小 (E) K 不受方程式係數的改變而改變
19. 用強鹼滴定莫耳數比為 1:1 之 H3PO4 和 NaH2PO4 溶液。下列滴定曲線,何者正確? (縱軸為 pH 值,橫軸為滴定體積) (H3PO4:pK1= 2.1,pK2=7.2,pK3= 12.0) (A) (B) (C) (D) (E)
20. 有一玻璃瓶中包含 N2和 CO2 的混合物。CO2 的分壓為 130 毫巴,總壓力為 450 毫巴。下 列各圖描述分子的速率分佈,何者正確? (實線為 N2、虛線為 CO2;x 軸:速率,y 軸:分子數量) (A) (B) (C) (D)
(E)
27. 2-甲基丁烷((CH3)2CHCH2CH3)和氯氣(Cl2)在 300o C 的條件下反應後,產生 30%的 1-氯-2-甲 基丁烷、22%的 2-氯-2-甲基丁烷、33%的 2-氯-3-甲基丁烷以及 15%的 1-氯-3-甲基丁烷, 則 三級氫(3° ):二級氫(2° ):一級氫(1° ) 的活性比為 (A) 2:3:4 (B) 4:3:2 (C) 4.4:3.3:1.0 (D) 1.0:3.3:4.4 (E) 4:2:3
31. 棉酚是毒性物質,可造成人體紅腫出血、食欲不振、神經失常、體重減輕、影響生育力 (對男性而言,會造成睪丸萎縮,精蟲數量及精蟲活動力減少,根據世界衛生組織(WHO) 研究,男性每天食用 1 湯匙約 15mL 棉籽油只需 1 年,90%會不孕;女性則會導致經期 紊亂,子宮縮小,卵巢萎縮等)。食用含棉酚較多的棉籽油(或毛棉油)會引起中毒, 患者皮膚有劇烈的灼燒感,並伴有頭暈、氣喘、心慌和無力等症狀。因此,未經處理的 棉籽油不可食用。棉酚的化學結構由 Adams 等人於 1938 年闡明,下列那一選項為棉酚 的結構?(A)(B)(C)(D)(E)
32. 品管不良的塑膠製黃色小鴨可能含有塑化劑 DEHP(鄰苯二甲酸二(2-乙基己基)酯), 下列那一個結構為 DEHP? (A)(B)(C)(D)(E)
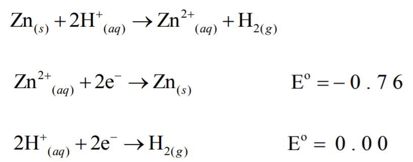
40. 鋅-氫電化電池反應式、半電池反應式及標準還原電位如下所示: 下列有關此電池的敘述,何者正確? (A) 鋅有較強的還原力 (B) 電池電動勢會隨著時間增加而遞減 (C) 標準狀態時,此電池之反應向右進行 (D) 提高陰極溶液的 pH 值,可提高此電池之電動勢 (E) 將此電池完全放電至 0 V,表示[H+ ]完全耗盡,濃度為 0 8
42. 下列路易士結構何者正確? (A) (B) (C) (D) (E)
43. 下圖中的平行四邊形何者可為單位晶格?(A)(B)(C)(D)(E)
2. 在一個未知的星球上,溫度與地球相似,已知其地表岩石的主要成分為碳酸鈣,大氣中存 在 0.1 bar 的二氧化碳與其他鈍性氣體,星球上的河流充滿飽和溶解的碳酸鈣,科學家測得 河水非常接近中性,[H+ ]= 1.8 × 10-7 M,如果已知有下列化學反應,請問河水中鈣離子的含 量為多少 ppm?(平衡計算時,氣體直接以 bar 為單位即可) (6 分)
4. 寫出下列反應的產物 A 至 G (每格 2 分,共 14 分)