所屬科目:奧林匹亞化學
14. 將 NaOH 水溶液逐滴加入含有 H+ 、Mg2+ 和 Al3+ 三種離子的無色水溶液中。若以 NaOH溶液的消耗體積(X 軸)與所產生的沉澱的質量(Y 軸)作圖,則下列何者正確?(A) (B) (C)(D) (E)
18. 某反應物可經由兩個反應路徑得到產物,如下圖所示, 其中包含 3 個基本反應步驟 (1、2、3),其反應速率常數分別為 k1、k2、k3,相對大小為 k1 << k2 < k3,則此產物的生成速率常數最接近下列何者?(A) k1 (B) k2 (C) k3 (D) k1+k2 (E) k1×k2
19. 取 8.00 克 SO3(g) 注入 5 升的真空容器內,在 527 ºC 下進行下列反應, 2SO3(g)2SO2(g) + O2(g)達平衡時,容器內壓力為 1.80 大氣壓,該上述反應的平衡常數 Kp 是多少?(A) 0.12 (B) 0.3 (C) 0.36 (D) 0.62 (E) 4.0
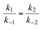
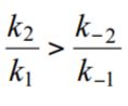
20. 有一反應 A(g) 2B(g),在溫度 25 ºC 時,其正、逆反應速率常數分別為 k1 及 k‒1,當加 入催化劑後,正、逆反應速率常數分別變為 k2 及 k‒2,下列那些敘述是正確?(A) k2 > k‒2 (B) k1 > k‒2 (C) (k2 − k1) = (k−2 − k−1)(D)(E)
22. 根據以下的標準還原電位下列何者是最強的還原劑?(A) Cr (B) Cr3+ (C) Co (D) Mn2+ (E) MnO4‾
23. 已知下列的熱反應式依上述反應式,計算下列反應的反應熱是多少?NO(g) + O(g) → NO2(g)(A) −551.6 kJ (B) −304.1 kJ (C) 153.8 kJ (D) 190.9 kJ (E) 438.4 kJ
29. 下圖為某分子之結構,有關該分子之敘述何者正確?(A) 此分子含有四個分子內氫鍵(B) 此分子完全水解後,可得四種不同結構之胺基酸分子(C) 此分子不會與重鉻酸鈉水溶液反應(D) 此分子中,只有一種官能基可與三級胺形成氫鍵(E) 此分子有十個碳原子具 sp 2 混成軌域
30. 下列何者可與 FeCl3 水溶液反應,使溶液呈紫色? (A)(B)(C)OO(D)(E)OHOClClCl
37. 含有 Cl‾、Br‾、I‾ 之混合溶液,可經由右圖之流 程將其分離,根據此流程,下面哪些選項正確?(A) X = Cl‾(B) Y = I‾(C) Z = AgBr(D) 形成溶液 X 之反應為: AgCl(s) + 2NH3(aq) → Ag(NH3)2+(aq) + Cl‾(aq)(E) 溶液 X 加入 6 M HNO3(aq) 時,會再產生沉澱
42. 在 25o C 時,將 1.0 M 醋酸溶液的濃度稀釋為 0.1 M 後,溶液中何者的數值增加? (醋酸的 Ka=1.8×10‒5)(A) pH (B) 導電度 (C) 沸點(D) 滲透壓 (E)
44. 在 220 K 下,H2、CH4,、N2 和 CO2 四種氣體的 與 P 間關係曲線如右圖所示,依圖及理想氣體定義,判斷下列敘述哪些正確?(A) 在很低的壓力下( P → 0 ),真實氣體的性質接近理想氣體(B) CH4在 400 大氣壓比在 200 大氣壓的性質更接近理想氣體(C) 分子間的作用力大小:H2 < N2 < CH4 < CO2(D) 在較高壓力時(P > 200 atm), 隨壓力增加而增大,因為真實氣體分子間的作用力所致(E) 理想氣體的等於 1,而真實氣體的 可能小於 1,因為真實氣體分子具有體積
46. 丙酮的溴化反應一般可用酸催化,催化後的反應式為 CH3COCH3 + Br2H+ CH3COCH2Br + H+ + Br−,在固定溫度下,改變[CH3COCH3]、[Br2]、[H+],對於[Br2]的消耗速率影響如表:則下列敘述哪些正確?(A) 此反應的總級數為 3(B) 此反應的速率常數為 1.9 × 10− 3 M− 1s− 1(C) 此反應的速率常數為 3.8 × 10− 3 M− 1s− 1(D) 此反應的速率與丙酮的濃度平方成正比(E) 此反應的速率與溴的濃度無關
48. 下圖為某有機化合物的結構,此有機分子可以跟選項中哪些試劑產生化學反應? (A) 斐林試劑 (B) 乙酸酐(在硫酸的催化下)(C) 過錳酸鉀的鹼性溶液中加熱 (D) 氯化亞銅的氨水溶液(E) 在氫氧化鈉的酒精溶液中加熱
4. 在石化工業中,常以乙烯來製造一系列的大宗原物料,例如下圖反應流程,乙烯和 HCl 反應得到甲。甲分別和主要試劑乙、丙反應,可得到乙醇和乙胺。乙醇和乙胺又可再進 行下圖中之反應,得到丁、戊 (酸類) 及已、庚 (醇類)。寫出從甲到庚的結構。(甲、乙、 丙各 2 分,丁、戊、已、庚各 1 分)