阿摩線上測驗
登入
首頁
>
教甄◆數學專業
> 104年 - 台南二中104教師甄選#52789
104年 - 台南二中104教師甄選#52789
科目:
教甄◆數學專業 |
年份:
104年 |
選擇題數:
0 |
申論題數:
20
試卷資訊
所屬科目:
教甄◆數學專業
選擇題 (0)
申論題 (20)
【已刪除】1. A、B 兩男士好奇地詢問 C 女士的年齡,C 女士列出 11 個可能的答案 :
接著 C 女士將她年齡的十位數告訴 A 男士,將她年齡的個位數告訴 B 男士。 A 男士說 : 「我不知道 C 的年齡,但我想 B 也不知道。」 B 男士說 : 「我原本也不知道 C 的年齡,但現在知道了。」 A 男士說 : 「哦,那現在我也知道了。」 請問 C 女士的年齡是 ________ 歲。
【已刪除】2. 在坐標平面上,點集合
之面積 = _____________。
【已刪除】3. 設θ
R,f (θ) =
之最大值為 M,最小值為 m,則數對 (M , m ) = __________。
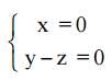
【已刪除】4. 以直線 L :
為軸,將點 P ( 0 , 2 , 1 )旋轉一圈得一圓 C,求圓 C 投影到 xy 平面 所得的曲線方程式。______________________________________。 ( 必須以 a x
2
+ bxy + c y
2
+ d x + e y + f = 0 之形式表示。)
【已刪除】5. 一圓形跑道上有 S、A、B 三地點,S 是起點,A、B 是障礙區,跑車在 A、B 處發生故障 (完全靜止不動)的機率分別為
。現在一輛跑車自 S 出發,經 A 再經 B 環繞跑道, 未故障前可以一圈接一圈繼續跑,求此輛跑車環繞跑道圈數的期望值為 __________。
【已刪除】6. 於坐標平面上 Γ :
之圖形繞 x 軸旋轉一週,求所產生旋轉體之體積 = _____。
7. 實數 x,y 滿足 x
2
+2xy+2y
2
=4,則 xy 之最小值為________。
8. 若正實數a,使得方程式x
3
+(-a
2
+2a+2)x-2a
2
-2a=0 有三個整數根, 則 a =_________(兩解)。
9. 在 1,2,3,4,5 的排列 a
1
, a
2
, a
3
, a
4
, a
5
中,滿足條件 a
1
< a
2
,a
2
> a
3
,a
3
< a
4
,a
4
> a
5
的排列的個數是 _________。
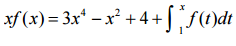
【已刪除】10. 多項式 f ( x ) 滿足
﹐則 f (2) 為__________。
11. [x]表示不大於 x 的最大整數,則方程[x
2
+ x] = 6x + 98 的解為_________(兩解)。
【已刪除】12. 設 a、b、c、x、y、zR,且 a
2
+b
2
+c
2
=1,x
2
+y
2
+z
2
=4, 則
的最大值為 __________。
13. 設 P(n)表正整數 n 之所有正因數之積,例如:P(6)=1×2×3×6=36。 若 P(n)=2
18
×7
12
,則正整數 n =_________。
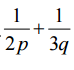
【已刪除】14. 已知兩正數 p、q 滿足
=9,則 2log
p+log
q 的最大值為________。
【已刪除】15. 如右圖,四邊形 ABCD 內接於一圓,且
為此圓的直徑, 已知
= 7,
= 3,則直徑
之長 =_________。
16. 已知 36
x
-6
x+1
+a=0 的兩根均為正數,則 a 的範圍為 _________。
17. 設△ABC 的三邊長為 a、b、c,且 a、b、c 恰為方程式 x
3
-14x
2
+62x-88=0 的三根,則 △ABC 的面積為 _________。
【已刪除】 1. 設 E 1 : a
1
x + b
1
y + c
1
z = d
1
,E
2
: a
2
x + b 2 y + c
2
z = d
2
,E 3 : a
3
x + b
3
y + c
3
z = d
3
為空間中的三平面,若 E
1
,E
2
,E
3
恰相交於一點,則
,試證之。
2.已知遞迴式 a1 = 1,an+1 = 2an+n
2
,試求出 an 的一般項。
【已刪除】3.如右圖,O 為半徑為 1 之半圓的圓心,A 為直徑
延長線上 一點且
= 2,B 為半圓上之任一點,以
為一邊作 正△ABC,試求四邊形 OACB 面積的最大值。
相關試卷
115年 - 115 國立高科實驗高級中等學校_專任教師甄選_國中部︰數學領域數學專長#138920
115年 · #138920
114年 - 114-1 臺北市立松山高級商業家事職業學校_教師甄選題目:數學#138394
114年 · #138394
114年 - 114 新北市立國民中學_教師聯合甄選試題: 數學科#127346
114年 · #127346
114年 - 114 國立臺灣藝術大學_綜合學科測驗﹕數學#126930
114年 · #126930
114年 - 114 國立彰化高級中學_教師甄選初試試題:數學科#126821
114年 · #126821
114年 - 114 臺北市立陽明高級中學_正式教師甄選試題:高中數學科#126749
114年 · #126749
114年 - 114 國立師大附中_教師甄選︰數學#126229
114年 · #126229
113年 - 113 金門縣國民中學正式教師聯合甄選初試試題:數學#120861
113年 · #120861
113年 - 113 新北市公立高級中等學校教師聯合甄選試題:數學#120730
113年 · #120730
113年 - 113 桃園市國民中學新進教師甄選試題:數學科#120523
113年 · #120523