所屬科目:教甄◆數學
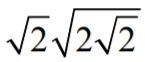
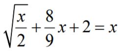
41. 計算 之值為何? (A) 1 (B) 2 (C) 3 (D) 4
42. 已知 x 為正整數,且,則 x 有幾個不同的正因數? (A) 9 (B) 10 (C) 12 (D) 14
43. 如圖,在直角坐標平面上,一個二元一次方程式的圖形, 請問這個方程式可能是下列何者? (A)(B) (C)(D)
44. 若△ABC 的周長為26,且三個高的比為2:3:4 ,則△ABC 最大邊的長為 (A) 16 (B) 12 (C) 8 (D) 6
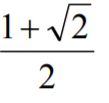
45. 等於 (A)3(B) 4 (C) 2 (D)
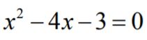
46. 一元二次方程式,其負根為a ,則a 的範圍應該是下列哪一個選項? (A) (B) (C)(D)
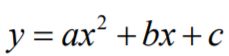
47. 二次函數之圖形如圖所示,則下列何者錯誤? (A) a < 0 ,b <0 (B) a <0 ,b > 0 (C)b > 0,c > 0 (D)
48. 已知某二次函數 在 x = 3時有最小值 -2 ,且其圖形通過( 0,7) ,則 a+b+c = ? (A) 1 (B) 2 (C) 3 (D) 4
49. 如圖,方程式的圖形與兩軸分別交於 A、B 兩點,若 P 為 上的任一點,則矩形OCPD面積最大值為多少? (A) (B)(C) (D)
50. 在高速公路上,一輛3公尺長、時速110公里的汽車打算超越一輛17公尺長、時速100 公里同向行駛的卡車。 請問汽車從開始追及到超越卡車,總共費時多少秒? (A) 0.5 (B) 7.2 (C) 4.1 (D) 5.6
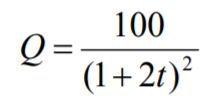
51. 當時間t = 0時一汽球有一條裂縫,且在時間為t 時留在汽球內的氣體量 Q滿足 . 那麼當汽球內的氣體漏掉為原來的ㄧ半時其所花的時間為 (A) (B) (C) (D) 2
52. 有10張卡片依序排好,卡片上各標上一個正整數,分別是1、2、…、10。現將這10 張數字卡分成兩堆,每堆5張。第1堆的5個數字為由小到大依序為 a 5 ;第2堆的5個數字為由大到小依序為 。請求出 ? (A) 5 (B) 15 (C) 25 (D) 35
53. 若 且 ,則 x =? (A) 10 (B) 21 (C) 9 (D) 14
54. 設為 之因式,則α + β 是多少? (A) 5 (B) 6 (C) 7 (D) 8
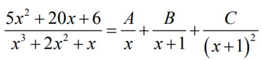
55. 若 ,則下列何者正確? (A) A = -6 (B) A = 3 (C)C = -9 (D) B = -1
57. 如圖,請判斷 的結果必為何? (A)360°-∠CGE (B) 270°-∠CGE (C)180°+∠CGE (D) 2✖∠CGE
58. 如圖,已知△ABC 的三邊長分別為a、 b、c。又 AD 平分 ∠BAC , BE 平分 ∠ABC,CF 平分∠ACB。請問△DEF 與 △ABC 的面積比為何? (△DEF :△ABC ) (A) (B) (C) (D)
59. 如圖為一個九宮格,將1、2、3、4、5、6、7、8、9分別填到空格中, 一個空格只能填一個數字,而且數字不可以重覆使用。已知每一行、 每一列、每一條對角線上的3個數字和都是一樣的。請問:左上角的位 置(即a)的最大值為何? (A) 6 (B) 7 (C) 8 (D) 9
61. 已知,其中a1~a8 均為不同的質數,而且最大 的是 a 8。請問 a8 可能為何? (A) 89 (B) 79 (C) 53 (D) 31
65. 某日上課,周老師在一信封中放進了一張卡片,卡片上面寫了一個正整數a 。 以下是甲~戊等5個學生對正整數a 的猜測: 甲說:「a ≤ 49 」 乙說:「a≥ 23」 丙說:「a ≥ 12」 丁說:「a≥ 11」 戊說:「a ≥ 7 」 關於這5人的說法,周老師說:「有3人正確,2人錯誤」。 請依據上述資料,判斷正整數a 的值可能為何? (A)47 (B)23 (C)12 (D)11 9 G H F D E C B A
68. 有207張紙牌,分別標示1~207,並拿走其數字除以3餘1的紙牌,剩下a張紙牌。若小明將剩下的紙牌由小到大排列成一數列後,每次從此數列中拿走數字為最大與最小的紙牌,且他最後一次拿走的兩張牌的數字為x、y,則a+x-y=? (A) 137 (B) 138 (C) 139 (D) 140
69. 如圖,在ABC 中,D、E均在 上,且 =2:7:3 。若 ,交於F,,交於H,且 相交於G,則四 邊形AHGF的面積為△ABC 面積的幾分之幾? (A) (B) (C) (D)
71. 如圖(一)將一顆圓球由B點靜止釋放,使其往下滾。受重力的影響,球的速率會越 來越快,當球滾到C點時,球的速率為VC,所花時間為TC;當球到達平面C點後,受 草坪阻力影響,球的滾動速率會漸漸變慢,最後停在D點。其滾動的速率-時間關 係圖如下圖(二):圖(二) 如果把C到D之間的草拔掉,使地面變平滑,阻力會減少一些,那麼新的<速率-時 間>關係圖較可能變成下列哪個圖? (A) (B) (C) (D)
72. 如圖,已知 =4單位長,∠ABP=30°,C 點在上。請利用直尺與圓規在下圖 中檢查,當 等於下列哪一個單位長度時,所畫出來的△ABC會有兩個,而且∠ABC 均為30°呢? (A)當 =2單位長 時 (B)當 =3單位長 時 (C)當 =4單位長 時 (D)當 =5單位長 時
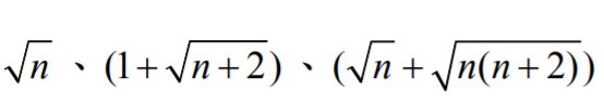
73. 已知 為某一等腰三角形的三邊長,且n 為正整 數。請問n =? (A) 1 (B) 2 (C) 3 (D) 4
74. 阿德坐在鞦韆上。他開始盪鞦韆,並試著盡可能將鞦韆盪到最高。 下面哪個圖最能代表他盪鞦韆時,腳距離地面的高度? (A) (B) (C) (D)
75. 在正方形ABCD中,E、F兩點分別在 、上, 且∠AEB =AEF 。 (E、F兩點均不是正方形ABCD的頂點) 連接 ,過A點作 垂直,並交於G。 對於 、∠EAF 的大小,請判斷下列敘述何者正確? (A) > AB (B) = (C)∠EAF >60度 (D)∠EAF =60度
76. 如圖,四邊形PQRS為一長方形的電腦遊戲螢幕,長為25公分,寬為15公分。 已知此遊戲的規則如下:一小球自 P 點射出,以直線方式,沿著與 成45度的方 向,在長方形的內部滾動,直到小球碰到 。 當小球碰到 ,小球會反彈,之後仍以直線方式, 沿著與 成45度的方向,在長方形的內部滾動。 如果此球以此方式繼續在長方形的內部滾動,每次碰 到邊再反彈後,均與此邊保持45度的方向前進。若此 球從P點射出後,再次碰到P、Q、R、S其中一點就會 停止,則該球會停在哪一點? (A)P點 (B)Q點 (C)R點 (D)S點
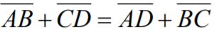
78. 已知四邊形ABCD為圓外切四邊形,且。以下有甲、乙兩人的說法: 甲說:「 」 乙說:「」 關於兩人的說法,下列判斷何者正確? (A)兩人都正確 (B)兩人都錯誤 (C)甲正確,乙錯誤 (D)甲錯誤,乙正確
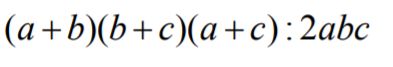
80. 如圖,三角形 PQR 中,S 和U 為邊 上的點且T 為上 的點使得 及。若= 4 且 = 2.4 , 則長為(以cm 計) (A) 2.4 (B) 2.5 (C) 3 (D) 3.2