阿摩線上測驗
登入
首頁
>
教甄◆數學
>
104年 - 臺北市104學年度市立國民中學正式教師聯合甄選數學科#83454
> 試題詳解
46. 一元二次方程式
,其負根為a ,則a 的範圍應該是下列哪一個選項?
(A)
(B)
(C)
(D)
答案:
登入後查看
統計:
A(9), B(4), C(13), D(81), E(0) #2199822
詳解 (共 3 筆)
田
B3 · 2024/03/05
#6039960
因為不需要找出解 直接使用勘根定理
f(0)=-3<0 f(-1)=2>0 故必有一根在0與-1之間
1
0
Alvin
B2 · 2020/05/03
#3926460
0
0
張君聖
B1 · 2020/03/11
#3821565
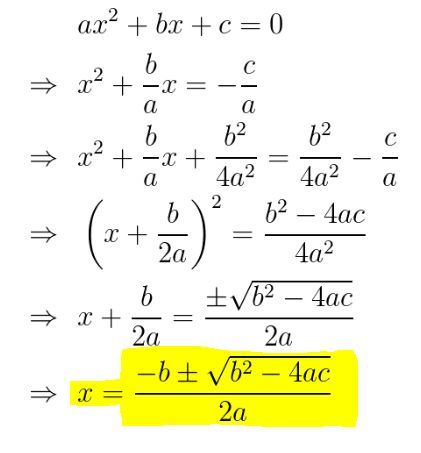
不確定是不是這樣解 一元二次方...
(共 76 字,隱藏中)
前往觀看
0
0
相關試題
41. 計算 之值為何? (A) 1 (B) 2 (C) 3 (D) 4
#2199817
42. 已知 x 為正整數,且,則 x 有幾個不同的正因數? (A) 9 (B) 10 (C) 12 (D) 14
#2199818
43. 如圖,在直角坐標平面上,一個二元一次方程式的圖形, 請問這個方程式可能是下列何者? (A)(B) (C)(D)
#2199819
44. 若△ABC 的周長為26,且三個高的比為2:3:4 ,則△ABC 最大邊的長為 (A) 16 (B) 12 (C) 8 (D) 6
#2199820
45. 等於 (A)3(B) 4 (C) 2 (D)
#2199821
47. 二次函數之圖形如圖所示,則下列何者錯誤? (A) a < 0 ,b <0 (B) a <0 ,b > 0 (C)b > 0,c > 0 (D)
#2199823
48. 已知某二次函數 在 x = 3時有最小值 -2 ,且其圖形通過( 0,7) ,則 a+b+c = ? (A) 1 (B) 2 (C) 3 (D) 4
#2199824
49. 如圖,方程式的圖形與兩軸分別交於 A、B 兩點,若 P 為 上的任一點,則矩形OCPD面積最大值為多少? (A) (B)(C) (D)
#2199825
50. 在高速公路上,一輛3公尺長、時速110公里的汽車打算超越一輛17公尺長、時速100 公里同向行駛的卡車。 請問汽車從開始追及到超越卡車,總共費時多少秒? (A) 0.5 (B) 7.2 (C) 4.1 (D) 5.6
#2199826
51. 當時間t = 0時一汽球有一條裂縫,且在時間為t 時留在汽球內的氣體量 Q滿足 . 那麼當汽球內的氣體漏掉為原來的ㄧ半時其所花的時間為 (A) (B) (C) (D) 2
#2199827
相關試卷
114年 - 114 國立臺灣藝術大學教育學程招生考試_綜合學科:數學#137131
2025 年 · #137131
114年 - 114 高雄市市立國民小學教師聯合甄選-專長類-普通科目試題:數學#131662
2025 年 · #131662
114年 - 114 澎湖縣國民小學暨附設幼兒園教師/代理教師甄選試題:數學#131655
2025 年 · #131655
114年 - 114 文藻外語大學師資培育中心__國民小學教師教育學程新生甄選試題:學科基本知識-數學#130715
2025 年 · #130715
114年 - 114-1 臺北市立復興高級中學_專任教師甄選試題:數學科#129383
2025 年 · #129383
114年 - 114-2 新竹市國民中學教師聯合甄選初試試題:數學科#128201
2025 年 · #128201
114年 - 114 臺南市市立國民中學_正式教師聯合甄選試題:數學專門科目#128066
2025 年 · #128066
114年 - 114 桃園市國民中學新進教師聯合甄選試題:數學科#127820
2025 年 · #127820
114年 - 114-2 國立嘉義高級中學_教師甄選:數學科#127613
2025 年 · #127613
114年 - 114 中區縣市政府教師甄選策略聯盟:國小數學科#127528
2025 年 · #127528