阿摩線上測驗
登入
首頁
>
電力系統
> 104年 - 104年升官等、104年關務人員升官等、104年交通事業公路人員升資、104年交通事業港務人員升資考公務簡任_電力工程#29734
104年 - 104年升官等、104年關務人員升官等、104年交通事業公路人員升資、104年交通事業港務人員升資考公務簡任_電力工程#29734
科目:
電力系統 |
年份:
104年 |
選擇題數:
0 |
申論題數:
6
試卷資訊
所屬科目:
電力系統
選擇題 (0)
申論題 (6)
⑴試求電容器虛功Q
G2
使得 |V
2
| =1。(10 分)
⑵在⑴情形下,∠V
2
為何?(10 分)
【已刪除】二、考慮一 50 kVA 雙繞組變壓器,一次側繞組為 100 匝,二次側繞組為 10 匝,鐵心磁阻為10
4
。試求一次側繞組磁化電感值(magnetization inductance)。(20 分)
【已刪除】三、考慮一座燃天然氣發電廠及一座燃煤發電廠,一起提供總共 600 MW 電力給負載, 若兩座電廠燃料成本函數分別如下:
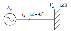
【已刪除】四、考慮一凸極同步發電機並聯無限匯流排(如下圖),若發電機與線路 d-軸電抗 X
d
=1.0 ,q-軸電抗 X
q
= 0.6 ,若忽略線路電阻值,試求開路電壓E
a
。(20 分)
【已刪除】五、考慮下圖,假設M =1.0(發電機慣性常數),P
M
= 0.5(機械輸入功率),|Ea|=1.5 (開 路電壓值),Xd =Xq = 0.8 (發電機直軸電抗值與交軸電抗值)。當t = 0時線路故障發 生並且同時斷路器打開,T 秒後故障清除並且斷路器復閉,試求臨界清除時間 T
critical
。 (20 分)
相關試卷
115年 - 115 關務特種考試_三等_電機工程(選試英文):電力系統#138944
115年 · #138944
114年 - 114 地方政府公務特種考試_三等_電力工程:電力系統#134738
114年 · #134738
114年 - 114 專技高考_電機工程技師:電力系統#133708
114年 · #133708
114年 - 114 公務升官等考試_薦任_電力工程:電力系統#133165
114年 · #133165
114年 - 114 高等考試_二級_電力工程:電力系統#131586
114年 · #131586
114年 - 114 高等考試_三級_電力工程:電力系統#128774
114年 · #128774
114年 - 114 關務特種考試_三等_電機工程(選試英文):電力系統#126644
114年 · #126644
113年 - 113 臺灣菸酒股份有限公司_從業職員及從業評價職位人員甄試試題_電子電機:電力系統(含電路學)#133978
113年 · #133978
113年 - 113 地方政府公務特種考試_三等_電力工程:電力系統#124553
113年 · #124553
113年 - 113 專技高考_電機工程技師:電力系統#123952
113年 · #123952