所屬科目:電力系統
一、一台三相同步發電機,以傳輸線路,連接到無限匯流排(Infinite Bus),該發電機所提供最大有效功率(Active Power)為0.45標么值(Per Unit,簡稱p.u.)。假設傳輸線路發生故障,導致發電機與傳輸線路間的電抗變為故障前之4倍。於故障清除後,可傳輸的最大有效功率是原始故障前最大有效功率的70%。請計算此情境下該發電機之臨界清除角度。(25分)
二、某功率因數(Power Factor)滯後的負載,連接於阻抗為R+jX的短程輸電線路,而該輸電線路的送電端電壓與受電端電壓相等。試計算該輸電線路的X/R比值,使得於穩態運轉條件下,該線路有最大之傳輸功率。(25分)
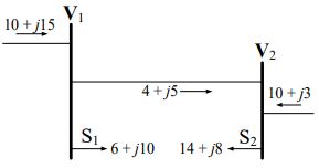
三、如圖所示之電力系統單線圖,| V1 |=| V2 |=1標么值。傳輸線路阻抗為j0.05p.u.。如果每個匯流排所吸收之有效功率均為10p.u.,計算流出此二匯流排的視在功率(Apparent Power)與對應之功率因數。(25分)
四、一個Y形連接的三相不平衡負載的相電流分別為=(44-j33)A、=-(32+j24)A與=(-40+j25)A。請計算相應此情境之正序相電流、負序相電流與零序相電流。(25分)