阿摩線上測驗
登入
首頁
>
電力系統
> 104年 - 104年外交領事人員及外交行政人員、104年民航人員、104年稅務人員、104年原住民族考原住民族三等_電力工程#34166
104年 - 104年外交領事人員及外交行政人員、104年民航人員、104年稅務人員、104年原住民族考原住民族三等_電力工程#34166
科目:
電力系統 |
年份:
104年 |
選擇題數:
0 |
申論題數:
7
試卷資訊
所屬科目:
電力系統
選擇題 (0)
申論題 (7)
⑴電源供應之瞬時功率(instantaneous power)。(10 分)
⑵電源供應之實功率。(5 分)
⑶電源供應之虛功率。(5 分)
⑷電源之功率因數。(5 分)
【已刪除】二、母線 2 負載S2 = 0.8 + j0.4 pu,係由母線 1 之發電機經由串聯阻抗為0.05 + j0.1 pu 之輸電線路供電,如圖一所示。假設輸電線路之並聯電容抗可忽略,且假設母線 1 為搖擺母線(swing bus),電壓 =1.0∠0° V
1
pu。若母線 2 的電壓初始估計值為 1.0∠0° pu,試以高斯-賽代爾法(Gauss-Seidel method)求解母線 2 上的電壓 V
2
, 請執行 3 次疊代。註:所有參數量均係以共通系統基準(common system base)的 標么值表示。(25 分)
【已刪除】三、圖二所示電力系統的正相序電抗係以共通 MVA 為基準的標么值表示。所有的電阻 均被忽略,且所有負相序阻抗被假設為與正相序阻抗相等。一直接線對線故障 (bolted line-to-line fault)發生在母線 2 的 b 與 c 相間。假設故障發生前所有母線電 壓均為 1.0 pu。試求故障點各相(a、b 與 c 相)總故障電流。(25 分)
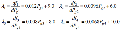
【已刪除】四、某發電廠 4 部發電機組以$/MWh 為單位的增量燃料成本函數(incremental fuel cost functions)為:
式中 f
i
代表發電機組 i 的燃料成本函數(fuel cost function);P
gi
代表發電機組 i 的 發電量。假設 4 部機組同步運轉以供應總共 800 MW 的負載,試求在經濟調度 (economic dispatch)下,此發電廠的增量燃料成本 λ 及每一發電機組的發電量。 (25 分)
相關試卷
115年 - 115 關務特種考試_三等_電機工程(選試英文):電力系統#138944
115年 · #138944
114年 - 114 地方政府公務特種考試_三等_電力工程:電力系統#134738
114年 · #134738
114年 - 114 專技高考_電機工程技師:電力系統#133708
114年 · #133708
114年 - 114 公務升官等考試_薦任_電力工程:電力系統#133165
114年 · #133165
114年 - 114 高等考試_二級_電力工程:電力系統#131586
114年 · #131586
114年 - 114 高等考試_三級_電力工程:電力系統#128774
114年 · #128774
114年 - 114 關務特種考試_三等_電機工程(選試英文):電力系統#126644
114年 · #126644
113年 - 113 臺灣菸酒股份有限公司_從業職員及從業評價職位人員甄試試題_電子電機:電力系統(含電路學)#133978
113年 · #133978
113年 - 113 地方政府公務特種考試_三等_電力工程:電力系統#124553
113年 · #124553
113年 - 113 專技高考_電機工程技師:電力系統#123952
113年 · #123952