所屬科目:研究所、轉學考(插大)◆統計學
二. (15%)假設樣本空間S = S₁ + S₂ + S₃ + S₄, 且假定 P(Sᵢ)=及 P(Sᵢ|Sⱼ) = , i = 1, 2, 3, 4, 請計算求得機率P(S₁|S₂)?
三. (15%)假設在一個地點抽樣調查結果發現某時段會出現的車輛數為二項分配(Binomial Distribution),此項調查結果的數值資料如下表,請計算求得某時段出現6部車的機率P(6)?
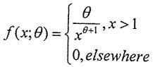
五. (15%)假定進行一項抽樣調查得到的結果為12, 11.2, 13.5, 12.3, 13.8,11.9, 若這些樣本來自母體的機率密度函數如下:當 θ > 1, 試求 θ 的最大概似估計值(maximal likelihood estimate)?
六. (20%)有個公共自行車是否免費的調查結果如下表: 若在顯著水準α=0.05之下,請問是否贊成免費在不同職業身分之間是否看法一致? (註: χ²0.05,4 = 9.488, χ²0.05,9= 16.919, t=0.05,2,9= 1.833,t0.025,2,9 = 2.262, Z0.025= 1.96)