阿摩線上測驗
登入
首頁
>
技師◆化工熱力學
> 104年 - 104 高等考試_二級_化學工程:高等化工熱力學#41826
104年 - 104 高等考試_二級_化學工程:高等化工熱力學#41826
科目:
技師◆化工熱力學 |
年份:
104年 |
選擇題數:
0 |
申論題數:
7
試卷資訊
所屬科目:
技師◆化工熱力學
選擇題 (0)
申論題 (7)
⑴請以 T、P、V(體積)、R、Φ來表示此流體的定壓比熱(constant-pressure heat capacity)C
P
及定容比熱(constant-volume heat capacity)CV。(15 分)
⑵由⑴計算結果,請判斷此流體最符合那一種熱力學行為模式。(5 分)
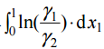
【已刪除】二、在一雙成分液體系統中,成分 1 及成分 2 的活性係數分別為 γ
1
及 γ
2
,莫耳分率分別 為 x
1
及 x
2
。請詳細計算
。(20 分)
【已刪除】三、在一多成分混合物系統中,某一項莫耳熱力學性質為 B,成分 i 的部分莫耳熱力學 性質為
,莫耳分率分別為 x
i
。假設 B 可以用系統的溫度 T 及壓力 P,以及各成分的 莫耳分率來表示,請計算
,並以 T、P、B 及 x
i
來表示答案。(20 分)
⑴請在壓力 P –體積 V 的相圖上,描繪出此熱機循環,並明確的標示狀態 A、B、C、 D。(5 分)
⑵請計算此熱機的最佳熱效率η,並以各狀態的壓力 P 或溫度 T 來表示。(15 分)
【已刪除】五、如果氯化鋰(LiCl)和氯化鉀(KCl)的物理性質如下表所示:
此 LiCl–KCl 雙成分系統,在一大氣壓下可以形成共晶系統(eutectic system)。如 果此共晶混合物在熔融態形成理想溶液,而且熔融態的焓可以視為非溫度的函數, 請計算此共晶混合物的共晶組成(eutectic composition)及共晶溫度(eutectic temperature)。(20 分)
相關試卷
114年 - 114 專技高考_化學工程技師:化工熱力學#133634
114年 · #133634
113年 - 113 專技高考_化學工程技師:化工熱力學#123950
113年 · #123950
112年 - 112 專技高考_化學工程技師:化工熱力學#117618
112年 · #117618
111年 - 111 專技高考_化學工程技師:化工熱力學#111969
111年 · #111969
111年 - 111 高等考試_二級_化學工程:高等化工熱力學#110966
111年 · #110966
110年 - 110 專技高考_化學工程技師:化工熱力學#104162
110年 · #104162
109年 - 109 專技高考_化學工程技師:化工熱力學#93195
109年 · #93195
108年 - 108 專技高考_化學工程技師:化工熱力學#80730
108年 · #80730
107年 - 107 專技高考_化學工程技師:化工熱力學#72934
107年 · #72934
106年 - 106 專技高考_化學工程技師:化工熱力學#66577
106年 · #66577