所屬科目:教甄◆數學
1. 甲乙兩人共解一題計算證明題。已知甲能解出之機率 為 ,乙能解出之機率為,求此題被解出之機率。(A)(B)(C)(D)
2. 已知三次多項式 f (x) 滿 與 ,則 f (5) 的值為何? (A) 30 (B) 36(C) 45 (D) 60
3. 設 x 為實數,求 的最大值。 (A) (B) (C)(D)
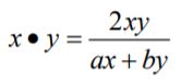
4. 對任意兩實數 x y, ,定義一運算如下:,其中 ab, 為常數。若 且 ,求 =? (A) (B)(C) (D)
6. 甲、乙兩人各從 1 到 9 任選三個相異整數(兩人互不 影響),則兩人所選的數中恰有一數相同的機率為何? (A) (B) (C) (D)
8. 令 ,求 f '(2)=? (A) - 48 (B) 0(C) 32(D) 不存在
9. 設 f ( x) 為實係數五次多項式,且 ,;則函數 的圖形與 x 軸有幾個 交點? (A) 3(B) 2(C) 1(D) 1 或 0
10. 在△ABC 中,已知, 則 ABC 的 外接圓半徑為何? (A) (B) 20(C) (D)
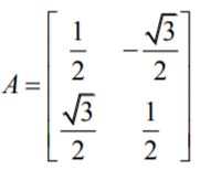
11. 設 ,求最小自然數 n 使得 A n=I 。 (A)3(B)4(C)5(D)6
13. 在 的範圍內,函數的最大值為何? (A) 1(B) (C) 2(D)
14. 已知 (x - 2) f (x) 除以 的餘式為 ,若 f (x) 除以 的餘式為,求 a -3b = ? (A) - 2(B) -1(C) 1(D) 2
15. 試求 。 (A) (B)(C) (D) 0
16. 若△ABC 之三邊長 a b c , , 滿足等式 ,則 cos∠C =? (A) (B) (C) (D)
18. 假設滿足 125 整除的所有正整數 n 中, 最小的兩個 n 的值分別為 a 和 b ,求 a+ b 的值。 (A) 120(B) 122(C) 124(D) 126
19. 求 展開式中x6 的係數。 (A) 30(B) 42(C) 45(D) 48
20. 已知 A ( -2,0),B (1,0), C(0,3) 為平面上三個點,動點 P 滿足。求 P 點之軌跡方程式 的圖形所圍成的面積。 (A) π(B) π(C) π(D) π
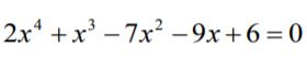
21. 方程式 的所有實數根的總和 為何? (A) (B) 0(C) (D)
22. 已知 ,則對於實數 x, y, z 的關係 式,下列敘述何者正確? (A) (B) (C) (D)
24. 已知二直線 3x + y - 4 = 0 和 2x - y +1= 0 與拋物線 均相切,求 a + b = ? (A)(B) (C) (D)
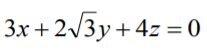
25. 已知△ABC 中,BC = a,D 是 BC 的中點, ∠BAD 為 直角,∠DAC = 30°,求 AC 之長為何? (A) (B)(C) (D)