阿摩線上測驗
登入
首頁
>
教甄◆數學
>
105年 - 桃園市107學年度市立國民中學正式教師聯合甄選-數學科#75375
> 試題詳解
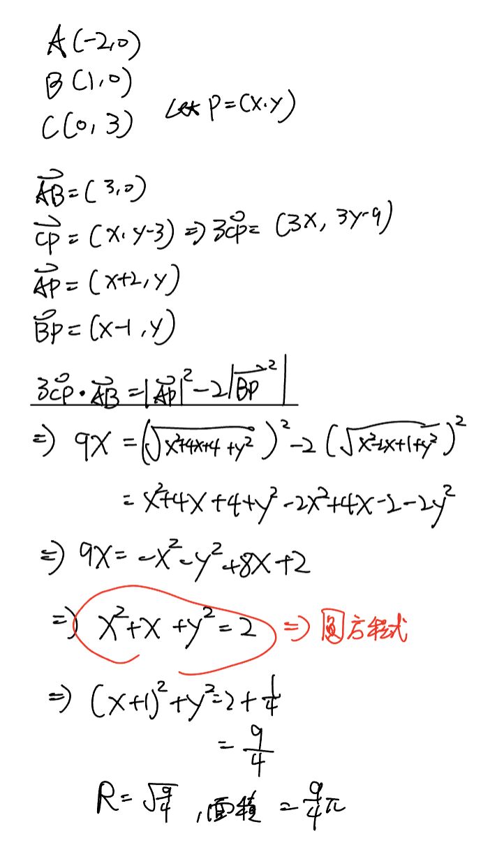
20. 已知 A ( -2,0),B (1,0), C(0,3) 為平面上三個點,動點 P 滿足
。求 P 點之軌跡方程式 的圖形所圍成的面積。
(A)
π
(B)
π
(C)
π
(D)
π
答案:
登入後查看
統計:
A(2), B(12), C(16), D(21), E(0) #1974726
詳解 (共 2 筆)
Jimmy Chen
B1 · 2020/02/05
#3762763
橢圓面積公式=拍*a*b
(共 14 字,隱藏中)
前往觀看
2
1
H
B2 · 2024/05/06
#6089459
0
0
相關試題
1. 甲乙兩人共解一題計算證明題。已知甲能解出之機率 為 ,乙能解出之機率為,求此題被解出之機率。(A)(B)(C)(D)
#1974707
2. 已知三次多項式 f (x) 滿 與 ,則 f (5) 的值為何? (A) 30 (B) 36(C) 45 (D) 60
#1974708
3. 設 x 為實數,求 的最大值。 (A) (B) (C)(D)
#1974709
4. 對任意兩實數 x y, ,定義一運算如下:,其中 ab, 為常數。若 且 ,求 =? (A) (B)(C) (D)
#1974710
5. 設兩集合 A = {x + 1, y, z}, B = {x + 2, 3, 4},若 A = B,則(x, y, z)共有幾組解? (A) 4(B) 5(C) 6(D) 7
#1974711
6. 甲、乙兩人各從 1 到 9 任選三個相異整數(兩人互不 影響),則兩人所選的數中恰有一數相同的機率為何? (A) (B) (C) (D)
#1974712
7. (307 21+ 45) 22 除以 50 的餘數為何? (A) 4(B) 12(C) 18(D) 24
#1974713
8. 令 ,求 f '(2)=? (A) - 48 (B) 0(C) 32(D) 不存在
#1974714
9. 設 f ( x) 為實係數五次多項式,且 ,;則函數 的圖形與 x 軸有幾個 交點? (A) 3(B) 2(C) 1(D) 1 或 0
#1974715
10. 在△ABC 中,已知, 則 ABC 的 外接圓半徑為何? (A) (B) 20(C) (D)
#1974716
相關試卷
115年 - 115-1 新竹縣立湖口高中_正式教師甄選試題:數學科#138653
2026 年 · #138653
115年 - [無官方正解]115-1 國立屏科實驗高級中等學校_教師甄選:高中數學科#138645
2026 年 · #138645
115年 - 115-1 國立屏科實驗高級中等學校_教師甄選試題:國中數學科#138641
2026 年 · #138641
115年 - 115-1 國立嘉科實驗高級中學_教師甄選試題_高中部:數學科#138615
2026 年 · #138615
115年 - 115-1 臺北市立大同高級中學_教師甄選初選試題:高中數學科#138591
2026 年 · #138591
115年 - 115-1 臺北市立大安高工教師甄選試題:數學科#138455
2026 年 · #138455
115年 - 115-1 國立臺灣師範大學附屬高級中學_專任教師甄選試題:數學科#138411
2026 年 · #138411
115年 - 115-1 國立臺灣師範大學附屬高級中學_專任教師甄選試題:數學科#138410
2026 年 · #138410
115年 - 115-1 國立臺灣師範大學附屬高級中學_專任教師甄選試題:數學科#138409
2026 年 · #138409
115年 - 115-1 臺北市立麗山高級中學_正式教師甄選試題:數學科#138397
2026 年 · #138397