阿摩線上測驗
登入
首頁
>
技檢◆測量-工程測量-乙級
> 105年 - 04202 測量─工程測量 乙級 工作項目 01:測繪資料分析 1-100#38790
105年 - 04202 測量─工程測量 乙級 工作項目 01:測繪資料分析 1-100#38790
科目:
技檢◆測量-工程測量-乙級 |
年份:
105年 |
選擇題數:
100 |
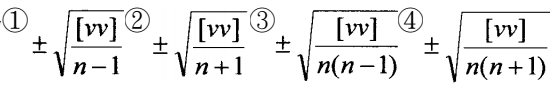
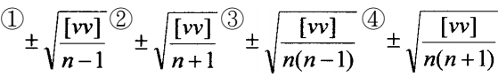
申論題數:
0
試卷資訊
所屬科目:
技檢◆測量-工程測量-乙級
選擇題 (100)
1. 誤差依其發生之來源分為幾種?(A)二(B)三(C)四(D)五。
2. 在平面測量中,各點之方格北均視為(A)指向同一點(B)相交(C)平行(D)垂直。
3. 觀測一測線之磁方向角為 N88°45'E;而其真方向角為 N89°45'E,則觀測地之磁偏角為(A)1°偏東(B)1°偏西(C)2° 偏東(D)2°偏西。
4. 子午線收斂角為(A)方格北與磁北之夾角(B)磁北與正北之夾角(C)正北與方格北之夾角(D)磁針受磁性物質影響 偏離磁北所成之夾角。
5. 一測線之方位角與其反方位角相差(A)90°(B)180°(C)270°(D)45°。
6. 若二測線之方向角為 S30°40'W;S50°55'W,則其夾角為(A)20°15'(B)20°25'(C)40°25'(D)81°35'。
7. 一測線之方向角為 N30°W,則相當於方位角(A)150°(B)210°(C)240°(D)330°。
8. 於水準面上任一點作一切面,則在此面上距該點一公里遠處離水準面約有(A)3cm(B)5cm(C)8cm(D)15cm 之高差。
9. 設 AB 及 AC 兩測線之方位角分別為 165°及 265°,則∠BAC 為(A)70°(B)100°(C)215°(D)95°。
10. 台灣地區水準基面係使用何處之平均海水面?(A)高雄港(B)花蓮港(C)基隆港(D)蘇澳港。
11. 作為高程起算之面為(A)水準面(B)水平面(C)大地水準面(D)海平面。
12. 測量之精度,一般係以(A)標準誤差(中誤差)(B)真誤差(C)平均誤差(D)或是誤差 表示之。
13. AB 長度用鋼卷尺量了 n 次,獲得每次量距之改正數為v
i
,[vv]=v
1
v
1
+v
2
v
2
+.....+vnv
n
,則最或是值之標準誤 差(中誤差)為
14. AB 長度用鋼卷尺量了 n 次,獲得每次量距之改正數為 vi ,[vv]=v1v1+v2v2+.....+vnvn ,則觀測值之標準誤差 (中誤差)為
15. 下列各項誤差中,何者不屬於累積誤差?(A)量距所用之拉力與標準拉力不同,有時大、有時小所產生之誤差 (B)尺長不合標準又未校正(C)捲尺量水平距離時未保持水平(D)標定直線不準確。
16. 下列哪一個方向角之讀法錯誤?
(A)A 點方向角為 N35°E(B)B 點方向角為 S19°E(C)C 點方向角為 S28°E(D)D 點方 向角為 N20°W。
17. 1970 年測出之磁方向角為 N23°E,磁偏角為 1°E;2000 年時磁偏角為 2°W,則磁方向角讀數變為(A)N26°E(B)N 24°E(C)N22°E(D)N20°E。
18. 緯度差 1",則其對應之地表距離約為(A)21m(B)31m(C)41m(D)51m。
19. 若二測線之方向角為 N30°40'W、S50°55'W,則其夾角為(A)20°15'(B)98°25'(C)200°15'(D)81°35'。
20. 台灣地區採用 2°分帶 TM 投影,在中央經線測得一段距離在平均海水面長度為 1000.00m,欲求投影面上之長 度,其改正數為(A)0.01m(B)0.10m(C)-0.01m(D)-0.10m。
21. AB 之方向角為 S30°W,則方位角 ψ
AB
為(A)60°(B)150°(C)210°(D)330°。
22. 一測線之磁方向角為 S27°40'E,該地磁偏角為 1°15'偏東,則該測線之真方位角為(A)153°35'(B)151°5'(C)28°55'(D)2 6°25'。
23. 已知 AB 測線之方位角為 200°,BC 測線之方向角為 S80°W,則兩測線之夾角為(A)10°(B)60°(C)80°(D)120°。
24. 平面圖上,一般不需要(A)圖例(B)指北線(C)等高線(D)接合表。
25. 表示比例尺之方法有(A)記述法、圖示法、文字法(B)分數法、文字法、圖示法(C)長度法、厚度法、深度法(D)長 柱型法、圓柱型法、三角柱法。 2
26. 下列各比例尺,以何者為最大?(A)1/2000(B)1/1200(C)1/1000(D)1/500。
27. 某一距離量測 3 次,各觀測值之改正數分別為:-2cm,+6cm,-4cm;則該距離最或是值之標準誤差為(A)±6.4 cm(B)±5.3cm(C)±4.2cm(D)±3.1cm。
28. 某一距離量測 3 次,各觀測值之改正數分別為:-2cm,+6cm,-4cm;則觀測值之標準誤差為(A)±6.4cm(B)±5.3 cm(C)±4.2cm(D)±3.1cm。
29. 實地長 42.3m,在五仟分之一的地圖上之長度應為(A)84.6cm(B)8.46cm(C)0.846cm(D)0.0846cm。
30. 地形圖比例尺為 1:25000,已知兩點間之圖面距離為 50cm,則兩點間實際距離為(A)50km(B)25km(C)12.5km(D)5k m。
31. 土地面積為 1 公頃 2 公畝 3 平方公尺,等於(A)123m2(B)1023m2(C)1203m2(D)10203m2。
32. 有一塊長方形土地長 400m,寬 100m,其面積為(A)0.4 公頃(B)4 公頃(C)40 公頃(D)400 公頃。
33. 有一塊長方形土地長為 100m,寬為 20m,試問其面積約為(A)60.5 坪(B)121.0 坪(C)605 坪(D)1210 坪。
34. 在 1/500 比例尺的圖上,量得 AB 兩點之距離為 12cm,則該兩點在 1/1000 比例尺的圖上,其長度為(A)3cm(B)6 cm(C)24cm(D)48cm。
35. 假設一直線分為 3 段施測,各段距離值與標準誤差分別為:30.000±0.004m、30.000±0.003m、20.000±0.002m,該 直線之距離值與標準誤差為(A)80.000±0.003m(B)80.000±0.005m(C)80.000±0.007m(D)80.000±0.009m。
36. 目前我國五萬分一地形圖是使用(A)三度分帶 TM 投影(B)二度分帶 TM 投影(C)UTM 投影(D)圓錐投影。
37. 在一地圖上,量度出三點坐標是(20,0)、(0,40)、(30,50),則此三點所圍之面積是(A)1400(B)700(C)1000(D)600。
38. 10cm×10cm 之正方形,在 1/1000 地圖上所表示出之面積是(A)100m2(B)1000m2(C)10000m2(D)100000m2。
39. 只顯示地物位置之地圖為(A)平面圖(B)斷面圖(C)地籍圖(D)地形圖。
40. 將地球表面投影於平面上,測繪面積愈大,則畸變差(A)不變(B)愈大(C)愈小(D)視經緯度而定。
41. 磁偏角為(A)方格北與磁北之夾角(B)磁北與正北之夾角(C)正北與方格北之夾角(D)子午線與正北之夾角。
42. 1/50000 地圖之四圖隅點,均註有(A)方格坐標數值(B)地籍坐標數值(C)經緯度數值(D)縱橫距坐標數值。
43. 在甲圖上量得兩叉路間之長為 12cm,另於 1/25000 之乙圖上量得相同兩點間長為 2.4cm,則甲圖之比例尺為 (A)1/10000(B)1/15000(C)1/5000(D)1/500。
44. UTM 之帶區劃分自西經 180°起,每 6°為一帶,全球共(A)30 帶(B)40 帶(C)60 帶(D)70 帶。
45. 在 1/5000 圖上量得 1cm2之面積相應實地多少 m 2?(A)50(B)250(C)2500(D)5000。
46. 在一 1/1000 比例尺圖上長 100mm、寬 50mm 圍成之面積,其實地面積為(A)151.25 坪(B)50 公畝(C)0.68 甲(D)580 0 平方公尺。
47. 台灣本島(不含澎湖)所採用之橫麥卡托投影座標系統,其帶寬(經度間距)為(A)2°(B)3°(C)4°(D)6°。
48. 正三角形邊長為 47 公里,則其面積為多少 km2?(A)1005.3(B)896.7(C)935.2(D)956.5。
49. 85m2相當(A)22.7 坪(B)23.7 坪(C)24.7 坪(D)25.7 坪。
50. 台灣地區採用二度 TM 座標系統,其中央子午線之尺度比率為(A)1(B)0.9999(C)0.9996(D)0.9993。
51. 下列各種不同比例尺的地形圖中,何者精度最高?(A)1:500(B)1:1000(C)1:5000(D)1:25000。
52. 台灣地區採用二度 TM 座標系統,其中央子午線為(A)120°E(B)121°E(C)122°E(D)123°E。
53. 在圖上量得一面積為 500m2,但因圖紙係縱向縮小 1%,橫向縮小 3%,故真正面積應為(A)521m2(B)512m2(C)49 0m2(D)480m2。
54. 目前台灣地區使用二度 TM 座標系統,其中央子午線與赤道交點之橫座標為(A)500000m(B)350000m(C)250000m (D)150000m。
55. U.T.M.適用範圍約為(A)北緯 90°至南緯 90°間(B)北緯 80°至南緯 80°間(C)北緯 70°至南緯 70°間(D)北緯 60°至南緯 6 0°間 之區域。
56. 地球磁子午線與子午線之夾角,因正北永遠不變,而磁北常變,故發生偏差,其偏差量稱為(A)方格偏角(B)磁 方位角(C)磁偏角(D)磁傾角。
57. "1/50000、1:50000"的比例尺表示法屬於(A)文字法(B)數字法(C)圖示法(D)比例線段法。
58. 在二十五萬分之一的地形圖上,4cm2之面積所代表的實際面積是(A)2.5km2(B)5km2(C)10km2(D)25km2。 3
59. 在 1:25000 的地圖上量得甲乙兩地距離為 6cm,則兩地實際距離是(A)1km(B)1.5km(C)5km(D)15km。
60. 在比例尺五十萬分之一的地圖上,量得甲乙兩地之距離為 8cm,則兩地之實際距離為(A)4km(B)8km(C)20km(D)4 0km。
61. 若甲、乙二圖均為台北市區圖,已知甲圖之比例尺為 1/25000,於甲圖上量得 A、B 二地之距離為 6cm,若於 乙圖上量得 A、B 二地之距離為 2cm,則乙圖之比例尺為(A)1/50000(B)1/75000(C)1/100000(D)1/300000。
62. 在五十萬分之一台灣地區地形圖上所表示之中山高速公路,(A)長度及寬度均依比例(B)長度及寬度均不依比例 (C)長度依比例,寬度不依比例(D)寬度依比例,長度不依比例。
63. 台灣地區 1/5000 基本圖方格線之實際長度為(A)100m(B)200m(C)500m(D)1000m。
64. 相同經緯距之圖幅所涵蓋實地面積,低緯度者較高緯度者為(A)小(B)大(C)相等(D)視比例尺而定。
65. 若一捲尺之刻劃長度為 20m,但實際長度比 20m 多出 Δ,假設以一捲尺量測距離 D,則 D 含有因尺長不準 確所產生之誤差,此誤差稱為(A)大誤差(B)偶然誤差(C)系統誤差(D)粗差。
66. 如下圖所示,假設 A、B、O、O'位於一平面上,O 為測站地面點位,A、B 分為照準點地面點位,O'為經緯 儀中心於地面之投影點位,因定心不正確所造成之偏心距 OO'=3mm,距離 OA=OB=60m,O'A=O'B,觀測水 平角∠AO'B=100°(內角),則定心誤差對正確水平角∠AOB(內角)之影響量為何?
(A)14.3 秒(B)14.8 秒(C)15.8 秒 (D)16.5 秒。
67. 於 GIS 中,下列何者非向量式之單一空間物件格式?(A)點(B)線(C)面(D)像元。
68. 於 GIS 中,下列何者非位相(Topology)關係?(A)連結性接(B)區域定義(C)鄰接性(D)方位角。
69. 以電子測距儀測量一段斜距,其值為 828.119m,電子測距儀之精度為±(3mm+2ppm),儀器定心誤差為±3mm, 稜鏡定心誤差為±5mm,請估計此段斜距之誤差(A)±5.8mm(B)±6.8mm(C)±7.8mm(D)±8.8mm。
70. 於 GIS 空間分析中,沿著所選定的道路建立新多邊形,此功能稱為(A)點環域功能(B)線環域功能(C)面環域功能 (D)多邊形環域功能。
71. 下列各種攝影測量,何者非以攝影方式來區分?(A)航空攝影測量(B)近景攝影測量(C)地面攝影測量(D)解析攝影 測量。
72. 如下圖所示,假設 A、O、C 位於一平面上,O 為測站地面點位,A 為照準點地面點位,B 為稜鏡中心點,C 為 B 於地面之投影點位,A 與 B 不在同一垂線上,距離 OA=60.0m,距離 AB=1.6m,∠ABC=15 秒,觀測水 平角時照準 B,此時對正確水平方向觀測之影響為何?
(A)0.2 秒(B)0.4 秒(C)0.6 秒(D)0.8 秒。
73. 於遙感探測(Remote Sensing)中,若一物體吸收所有綠、紅波譜的能量,則其呈現何種顏色(A)藍色(B)黃色(C)白 色(D)紫色。
74. 於電子經緯儀之光柵度盤測角系統中,其於光學玻璃上依一定密度及方向均勻交替刻劃透明與不透明輻射狀 線條,如將兩塊刻劃密度相同之光柵度盤重疊,並使其刻劃相互傾斜一個很小的角度,此時就會產生明暗相 間的條紋,此稱為(A)斯涅爾條紋(B)莫爾條紋(C)高斯條紋(D)邁克森條紋。
75. 下列何者非雷射掃瞄儀(地面光達)最大可測距離之受限因素?(A)雷射強度(B)目標物反射率(C)定心誤差(D)光 束散射。
76. 某段距離之真值為 49.984m,現以鋼捲尺測量此段距離 6 次,讀數如下:49.988、49.986、49.981、49.980、4 9.988、49.979,請問該鋼捲尺 6 次測量距離平均值的中誤差為(A)±1.55mm(B)±2.55mm(C)±1.69mm(D)±4.55mm。
77. 某段距離之真值為 49.984m,現以鋼捲尺測量此段距離 6 次,讀數如下:49.988、49.986、49.981、49.980、4 9.988、49.979,請問該鋼捲尺 6 次測量距離平均值的相對誤差為(A)1/12000(B)1/22000(C)1/42000(D)1/32000。
78. 某段距離之真值未知,現以鋼捲尺測量此段距離 6 次,讀數如下:49.988、49.986、49.981、49.980、49.988、 49.979,請問該距離最或是值的中誤差為(A)±1.69mm(B)±2.55mm(C)±1.55mm(D)±4.43mm。
79. 如下圖所示,∠C=90°,斜邊 S=163.563m±0.004m,角度 α=32°15'26"±5",假設 S 與 α 之觀測誤差獨立,請問 高差 Δh 之中誤差為
(A)±2mm(B)±3mm(C)±4mm(D)±5mm。
80. (本題刪題)假設地球上某位置,其沿經線方向之長度比為 1.21,沿緯線方向之長度比為 1.11,投影後經緯線 夾角為 89°55'30",則於方位角 45°時,其投影後長度比為(A)1.06(B)1.16(C)1.26(D)1.37。
81. (本題刪題)假設地球上某位置,其沿經線方向之長度比為 1.21,沿緯線方向之長度比為 1.11,投影後經緯線 夾角為 89°55'30",其投影後長度比最大值為(A)1.11(B)1.21(C)1.31(D)1.41。
82. (本題刪題)假設地球上某位置,其沿經線方向之長度比為 1.21,沿緯線方向之長度比為 1.11,投影後經緯線 夾角為 89°55'30",其投影後長度比最小值為(A)0.02(B)1.11(C)1.21(D)1.31。
83. (本題刪題)假設地球上某位置,其沿經線方向之長度比為 1.21,沿緯線方向之長度比為 1.11,投影後經緯線 夾角為 89°55'30",其投影後面積比為(A)1.09(B)1.14(C)1.24(D)1.34。
84. (本題刪題)假設地球上某位置,其沿經線方向之長度比為 1.21,沿緯線方向之長度比為 1.11,投影後經緯線 夾角為 89°55'30",其最大角度變形量為(A)2°28'27"(B)3°28'51"(C)3°56'49"(D)4°56'27"。
85. (本題刪題)點位於 x 及 y 方向之均方根誤差分為 1.21cm 及 1.11cm,請問其均方根點位位置誤差(Root Mean Sq uare Positional Error)為(A)1.16cm(B)1.34cm(C)1.56cm(D)1.68cm。
86. (本題刪題)點位於 x 及 y 方向之均方根誤差分為 1.21cm 及 1.11cm,請問其圓機率誤差(Circular Probable Error) 為(A)1.16cm(B)1.27cm(C)1.37cm(D)1.47cm。
87. (本題刪題)點位於 x 及 y 方向之均方根誤差分為 1.21cm 及 1.11cm,請問其圓標準誤差(Circular Standard Error) 為(A)1.16cm(B)1.27cm(C)1.37cm(D)1.64cm。
88. 不規則三角網(TIN)上某一三角形之平面方程式為 Z=1.2+0.4X+0.3Y,請計算此三角形之坡度為(A)26°31'54"(B)2 6°32'54"(C)26°33'54"(D)26°34'54"。
89. 如下圖所示,P 點不易到達,若 A 點高程為 91.029m,B 點高程為 91.906m,A 點儀器高 hiA=1.692m,B 點儀 器高 hiB=1.670m,A 點與 B 點之水平距離為 41.590m,水平角∠PAB=44°12'34",水平角∠ABP=39°26'56",垂 直角∠V1=8°12'47",垂直角∠V2=5°50'10",P 點之平均高程為
(A)96.459m(B)96.559m(C)96.569m(D)96.579m。
90. 於地理資訊系統中,下列何者非網格式資料之優點?(A)成本低(B)適合資料庫處理(C)顯示速度快(D)資料結構簡 單。
複選題
91. 目前我國採用的高程基準為 2001 臺灣高程基準(Taiwan Vertical Datum 2001, TWVD2001),有關 TWVD2001, 下列敘述哪些正確?(A)TWVD2001 採用正高系統(B)TWVD2001 採用基隆潮位站的潮汐資料化算而得(C)臺灣 一等水準網包含一等一級、一等二級與一等三級水準網(D)臺灣一等水準點除了進行水準測量外,亦施測衛星 定位測量及重力測量。 5
複選題
92. 目前我國採用的大地基準為 1997 臺灣大地基準(Taiwan Datum 1997, TWD97),有關 TWD97,下列敘述哪些正 確?(A)TWD97 建構於 1994 國際地球參考框架(1994 International Terrestrial Reference Frame 1994, ITRF94)之下(B) TWD97 採用 1980 年公布的 GRS80 參考橢球體(C)TWD97 的投影方式採用橫麥卡托(Transverse Mercator, TM)投 影,經差二度分帶,中央子午線尺度比為 0.9999(D)臺灣與澎湖地區採用相同的中央子午線定於東經 121 度, 金門及馬祖地區則定於東經 119 度。
複選題
93. 應用電子測距(Electronic Distance Measurement, EDM)技術實施距離測量時,下列敘述哪些正確?(A)EDM 依照 採用的載波不同,可以分為光波測距與微波測距(B)大氣折射改正為 EDM 的主要改正項目(C)稜鏡反射中心與 其對點中心之間的差異量為 EDM 的偶然誤差之一(D)EDM 的成果須化算至橢球面上,始與全球導航衛星系統 (Global Navigation Satellite System, GNSS)測得的距離相同。
複選題
94. 依據內政部一等水準測量作業規範,下列哪些為一等水準測量系統誤差的改正項目?(A)直立軸誤差(B)折射誤 差(C)視準軸誤差(D)正高改正。
複選題
95. 相對於全測站(Total Station)儀器的定位誤差,就全球導航衛星系統(Global Navigation Satellite System, GNSS)定 位技術而言,下列哪些為 GNSS 新增的定位誤差?(A)定水平、對點誤差(B)電離層折射延遲誤差(C)接收器的時 鐘誤差(D)環境遮蔽引起的誤差。
複選題
96. 如下圖所示,有關 A、B、C、D 四個目標的方向表示方法,下列敘述哪些正確?
(A)D 點的方位角為 20°(B)B 點的方位角為 161°(C)C 點的方向角為 S 62°W(D)A 點的方向角為 N 35°E。
複選題
97. 若 AB 測線的方位角為 200°,BC 測線的方向角為 S80°W,下列敘述哪些正確?(A)BC 的方位角為 280°(B)AB、 BC 兩測線夾角為 120°(或 240°)(C)BA 測線的方位角為 20°(D)C 點在 A 點的東南方。
複選題
98. 在相同觀測條件下,重複觀測一段距離 次,得到每次距離觀測量的改正數為 ,則下列敘述哪些正確?
(A) 此段距離的最或是值為
(B)此段距離的平均誤差為
(C)觀測值的中誤差為
(D)最或是值的中誤差為
。
複選題
99. 有關測繪資料的精度分析,下列敘述哪些正確?
(A)若測距的相對精度為
,則對應的測角精度約為±5. 9"(B)等精度重複觀測 次,其平均值中誤差為觀測值中誤差的
倍(C)不同觀測條件下,各觀測值之間的權比 值,通常與各觀測值中誤差的平方成反比(D)在正常的觀測過程中,觀測值的改正數大於其三倍觀測值中誤差 的機率通常小於 0.3%。
複選題
100. 測得一塊矩形土地的長邊為 400m±0.04m,寬邊為 100m±0.01m,下列敘述哪些正確?(A)矩形面積為 4 公頃(B) 矩形面積為 9800 坪(C)長邊約為 1320 台尺(D)矩形面積的誤為約為±5.7 平方公尺。
申論題 (0)
相關試卷
114年 - 04202 測量─工程測量 乙級 工作項目 06:儀器檢校 1-57(2025/10/28 更新)#132667
114年 · #132667
114年 - 04202 測量─工程測量 乙級 工作項目 05:應用測量 101-143(2025/10/28 更新)#132666
114年 · #132666
114年 - 04202 測量─工程測量 乙級 工作項目 05:應用測量 51-100(2025/10/28 更新)#132665
114年 · #132665
114年 - 04202 測量─工程測量 乙級 工作項目 05:應用測量 1-50(2025/10/28 更新)#132664
114年 · #132664
114年 - 04202 測量─工程測量 乙級 工作項目 04:地形測量 51-101(2025/10/28 更新)#132663
114年 · #132663
114年 - 04202 測量─工程測量 乙級 工作項目 04:地形測量 1-50(2025/10/28 更新)#132662
114年 · #132662
114年 - 04202 測量─工程測量 乙級 工作項目 03:控制測量 151-202(2025/10/28 更新)#132661
114年 · #132661
114年 - 04202 測量─工程測量 乙級 工作項目 03:控制測量 101-150(2025/10/28 更新)#132660
114年 · #132660
114年 - 04202 測量─工程測量 乙級 工作項目 03:控制測量 51-100(2025/10/28 更新)#132659
114年 · #132659
114年 - 04202 測量─工程測量 乙級 工作項目 03:控制測量 1-50(2025/10/28 更新)#132658
114年 · #132658