阿摩線上測驗
登入
首頁
>
技檢◆測量-工程測量-乙級
> 105年 - 04202 測量─工程測量 乙級 工作項目 02:基本測量方法 1-100#38794
105年 - 04202 測量─工程測量 乙級 工作項目 02:基本測量方法 1-100#38794
科目:
技檢◆測量-工程測量-乙級 |
年份:
105年 |
選擇題數:
100 |
申論題數:
0
試卷資訊
所屬科目:
技檢◆測量-工程測量-乙級
選擇題 (100)
1. 用鋼卷尺量得 A、B 兩點間之斜距為 50.000m,已知 A、B 兩點之高程差為 4.310m,則 AB 之水平距離為(A)5 0.186m(B)49.814m(C)50.093m(D)49.907m。
2. 於傾斜地量距,設傾斜角為 θ,斜距為 S,則水平距離為(A)S‧sinθ(B)S‧cosθ(C)S‧tanθ(D)S‧secθ。
3. 在 3%斜坡上量距 50m,若視為水平距離時,則其誤差為(A)0.022m(B)0.033m(C)0.044m(D)0.088m。
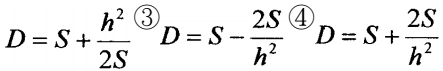
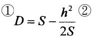
4. 設一斜距離為 S,其兩端之高程差為 h,則水平距離 D 可依下列何者近似公式計算?
5. 設一名義長 30m 之鋼卷尺,當溫度在 26.7°C 時,真長與名義長相等,假定量距時之平均溫度為 14.3°C,量 得一測線之距離為 358.297m,鋼卷尺之膨脹係數 0.0000116,則經溫度改正後之距離為(A)358.245m(B)358.348 m(C)358.358m(D)358.402m。
6. 用刻劃為 30m 之鋼卷尺測得 A、B 二點間之距離為 210.00m,事後與標準尺比較得實長為 30.01m,則 A、B 二點間之實長應為(A)209.93m(B)209.97m(C)210.07m(D)210.03m。
7. 下列有關水準器靈敏度之敘述,何者正確?(A)靈敏度主要視水準管縱斷面之圓弧半徑而定,半徑愈大,靈 敏度愈低(B)靈敏度主要視水準管縱斷面之圓弧半徑而定,半徑愈大,靈敏度愈高(C)靈敏度主要視水準管之 長度大小而定,長度愈長,靈敏度愈高(D)靈敏度主要視水準管之長度大小而定,長度愈長,靈敏度愈低。
8. 水準器之曲率半徑為 21m,則其靈敏度為(A)10"/2mm(B)20"/2mm(C)30"/2mm(D)40"/2mm。
9. 水準測量時,(A)前視距離大於後視距離(B)前視距離小於後視距離(C)前視距離約等於後視距離(D)不必考慮前 後視距離之關係。
10. 經緯儀觀測水平角時,常取正鏡及倒鏡觀測之平均值,其目的在消除(A)垂直軸不垂直之誤差(B)度盤刻劃之 誤差(C)水準軸不與垂直軸垂直之誤差(D)視準軸不與橫軸垂直之誤差。
11. 使用天頂距式垂直度盤之經緯儀,觀測一測點之天頂距,設正鏡讀數為 Z
1
,倒鏡讀數為 Z
2
,則其正確天 頂距為
12. 使用經緯儀測水平角時,下列何種儀器誤差不能藉正倒鏡觀測取其平均值而消除之?(A)視準軸不垂直於橫 8 軸(B)橫軸不垂直於直立軸(C)視準軸與橫軸交點不在垂直軸之垂直面上(D)水準軸不垂直於垂直軸。
13. 應用經緯儀觀測天頂距,如正鏡讀數為 94°12'44";倒鏡讀數為 265°47'24",則其垂直角為(A)-4°12'40"(B)+4°12' 40"(C)-81°34'40"(D)+81°34'40"。
14. 以方向組法觀測水平角三測回,則每一測回開始時水平度盤分別為(A)0°、45°、90°(B)0°、120°、240°(C)0°、60°、 120°(D)0°、90°、180°。
15. 水準測量標尺微小讀數估讀不準之誤差為(A)累積誤差(B)系統誤差(C)偶然誤差(D)平均誤差。
16. 水準測量時,讀完後視後如儀器稍有下陷,將使前視點之高程(A)減小(B)加大(C)不變(D)不一定。
17. 水準測量若標尺扶持不直(A)向前傾斜時讀數減小(B)向後傾斜時讀數增大(C)向前向後傾斜時讀數均增大(D)向 前向後傾斜時讀數均減小。
18. 下列各種高程測量,以何者精度最高?(A)直接水準測量(B)三角高程測量(C)視距高程測量(D)氣壓高程測量。
19. 設水平面上二點間距離為 1000m 時,則地球曲率對此二點之高程差為(A)0.08m(B)0.7m(C)0.05m(D)0.5m。
20. 已知 A 點高程為 31.157m,B 點高程為 31.166m,今自 A 點施實水準測量測至 B 點,得後視讀數和為 16.42 0m,前視讀數和為 16.431m,則水準閉合差為(A)+0.020m(B)-0.020m(C)+0.002m(D)-0.002m。
21. 水準測量各點之距離大約相等,若閉合差未逾規定界限,分配予各點改正數之原則為(A)與點數成正比例分 配(B)與距離平方成正比例分配(C)與點數成反比例分配(D)與距離平方成反比例分配。
22. 水準測量時,水準儀至前後視標尺距離無法相等且相差甚大,應用何種測量方法以消除視準軸誤差、地球 曲面差、大氣折光差﹖(A)精密水準測量(B)逐差水準測量(C)對向水準測量(D)校核水準測量。
23. 一水準器之靈敏度為 40"/2mm,當氣泡移動一格,讀相距 100m 之標尺,其相對應之讀數差為(A)0.2cm(B)2c m(C)0.1cm(D)1cm。
24. 為提高水準測量之精度,視準軸不可過分接近地面,標尺讀數不得低於(A)2cm(B)5cm(C)30cm(D)50cm。
25. 在三角高程測量中,兩站對向觀測垂直角以求兩點之高程差,可消除(A)地球曲率差及折光差(B)水準軸不垂 直於垂直軸之誤差(C)視準軸不垂直於橫軸之誤差(D)儀器下陷之誤差。
26. 零度在天頂方向之全周式垂直度盤,正鏡時所讀之角度為(A)垂直角(B)天頂距(C)360°減天頂距(D)180°減天頂 距。
27. 設一名義長 30m 之鋼尺,當溫度在 14.3°C 時,真長與名義長相等,當量距時之平均溫度為 26.7°C,量得一 測線之距離為 358.297m,熱膨脹係數為 0.0000116,則經溫度改正後之距離為(A)358.245m(B)358.348m(C)358.3 58m(D)358.402m。
28. AB、BC、CA 間距離各為 5km、2km、3km,今作水準測量,A 點高程為 52.460m,由 A 測至 B、C、A,直 接算得 B、C、A 高程分別為 85.258m、61.376m、52.470m,平差後,B 點高程應為(A)85.263m(B)85.253m(C)85. 260m(D)85.256m。
29. AB、BC、CA 間距離各為 1km、2km、3km,今作水準測量,A 點高程為 52.460m,由 A 測至 B、C、A,直 接算得 B、C、A 高程分別為 85.258m、61.376m、52.472m,平差後,B 點高程應為(A)85.254m(B)85.256m(C)85. 260m(D)85.262m。
30. AB、BC、CA 間距離各為 1km、2km、3km,今作水準測量,A 點高程為 52.460m,由 A 測至 B、C、A,直 接算得 B、C、A 高程分別為 85.258m、61.376m、52.472m,平差後,C 點高程應為(A)61.368m(B)61.370m(C)61. 372m(D)61.374m。
31. 使用 0°在天頂方向之經緯儀,觀測天頂距正鏡測得 84°20'24",倒鏡測得 275°39'24",則天頂距應為(A)84°20'5 4"(B)84°20'40"(C)84°20'30"(D)84°20'24"。
32. 使用 0°在天頂方向之經緯儀,觀測天頂距正鏡測得 84°20'24",倒鏡測得 275°39'24",則指標差應為(A)-4"(B)-6 "(C)-8"(D)-10"。
33. 普通水準測量若有閉合差,其高程差之改正數與下列何者成正比?(A)距離平方之倒數(B)距離(C)距離之倒數 (D)距離平方。
34. 今以一支名義長 30m 鋼卷尺量得兩點間距為 584.720m,但後來發現此鋼卷尺實際長為 30.004m,則此兩點 間距實際長度為(A)583.940m(B)585.500m(C)584.642m(D)584.798m。
35. 某尺在溫度改變前,名義長=實長,若溫度升高使測距尺增長,則所量測長度(A)變長,改正數為負(B)變長, 9 改正數為正(C)變短,改正數為負(D)變短,改正數為正。
36. 已知 A 點高程為 300.18m,今在 B 點觀測 A 點覘標之垂直角為仰角 5°58'01",AB 兩點之水平距離為 750.123 m,儀器高為 1.51m,覘標高為 11.17m,求 B 點之高程為(A)238.60m(B)240.20m(C)231.40m(D)225.70m。
37. 以水準儀觀測 A、B、C 三點,得讀數分別為 0.86m、1.52m、2.79m,則下列何者正確?(A)C 比 B 低 1.27m(B) B 比 A 高 0.66m(C)C 比 A 低 0.66m(D)B 比 A 低 1.93m。
38. 在 15%斜坡上量距,得 240.60m,其水平距離應為(A)237.84m(B)237.94m(C)238.04m(D)238.14m。
39. 電子測距儀之加常數改正,係改正(A)頻率誤差(B)溫度誤差(C)零點誤差(D)氣壓誤差。
40. 下列水準器之靈敏度值中,何者靈敏度最高?(A)1'/2mm(B)30"/2mm(C)20"/2mm(D)10"/2mm。
41. 若測線傾斜為 10%而視為水平時,50m 之誤差將為(A)0.188m(B)0.208m(C)0.228m(D)0.248m。
42. 於水準面上任一點作一切面,則在此面上距該點 2km 遠處離水準面約有(A)10cm(B)20cm(C)30cm(D)40cm 之高 差。
43. 水準器之曲率半徑為 41m,則其靈敏度為(A)10"/2mm(B)20"/2mm(C)30"/2mm(D)40"/2mm。
44. 在上下坡路段實施水準測量時,在水準尺上的讀數最小值為(A)5cm(B)3cm(C)3m(D)5m。 .
45. 在上下坡路段實施水準測量時,在水準尺上的讀數最大值為(A)無限制(B)1m(C)3m(D)5m。
46. 在斜坡設置儀器時,儀器之三腳架應(A)一支腳在下坡,另二支腳在上坡(B)一支腳在上坡,另二支腳在下坡 (C)三支腳分居上中下(D)三腳併攏。
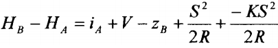
47. 三角高程測量公式
,公式中 K 為大氣折光係數,R 為地球曲率半徑,而
稱為(A)地球曲率改正(B)大氣折光改正(C)地球曲率及大氣折光改正(D)氣壓高程改正。
48. 三角高程測量公式
,公式中 K 為大氣折光係數,R 為地球曲率半徑,而
稱為(A)地球曲率改正(B)大氣折光改正(C)地球曲率及大氣折光改正(D)氣壓高程改正。
49. 長距離三角高程測量時,最好採用(A)同時對向觀測取平均(B)對向觀測取平均(C)單向觀測(D)重複單向觀測取 平均。
50. 大氣折光差與地球曲率差改正中,大氣折光差約為地球曲率差之幾倍?(A)1/3(B)1/7(C)3 倍(D)7 倍。
51. 某次視距測量,垂直角 α=8°10'00",視距間隔 a=0.762m,乘常數 K=100,加常數 C=0.23m,高差 V 等於(A)1 0.75m(B)15.75m(C)18.75m(D)22.75m。
52. 水準儀置於 A,B 兩點之間,觀測得 A,B 兩點水準尺讀數分別為 1.235m 及 1.430m,若 B 點高程為 20.750 m,問 A 點高程為(A)20.555m(B)20.945m(C)21.555m(D)21.945m。
53. 用經緯儀觀測一目標,得天頂距 86°12'30",則其垂直角為(A)+4°47'30"(B)+3°47'30"(C)-4°47'30"(D)-3°47'30"。
54. 令甲=「稜鏡數目」,乙=「空氣之清晰度」,丙=「測距儀之功率」,下列何者與電子測距儀之測距長度 有關?(A)甲乙(B)乙丙(C)甲丙(D)甲乙丙。
55. 設置經緯儀時,通常允許定心誤差為 2mm,氣泡偏差 1/4 格,令甲=「鉛垂」,乙=「光學定心器」,丙= 「定心桿」,依定心精度由高而低排列為(A)甲乙丙(B)乙丙甲(C)丙甲乙(D)三者相同。
56. 經緯儀設置於 A 點,十字絲之上、中、下絲對 B 點標尺之讀數分別為 1.200m,0.900m,0.600m,垂直角為 仰角 30°00',視距乘常數為 100,加常數為 0,又設儀器高為 1.20m,B 點之標高為 100.00m,則 A 點之標高 為(A)126.28m(B)73.72m(C)113.14m(D)86.86m。
57. 自動水準儀是藉下列何項裝置自動水平?(A)平行玻璃(B)補償器(C)傾斜螺旋(D)符合水準器。
58. 經緯儀天頂距正鏡讀數 80°,若儀器無誤差,則天頂距倒鏡讀數應為(A)10°(B)100°(C)260°(D)280°。
59. 水準管氣泡居中後,再平轉 180°,若此時氣泡偏移二格,則須調整水準管校正螺絲,使氣泡改正(A)半格(B) 一格(C)二格(D)四格。
60. 若水準儀之視準軸誤差 0.0001rad(弧度),當標尺距離為 60m 時,高程誤差為(A)1mm(B)3mm(C)6mm(D)12mm。
61. 若觀測目標之天頂距為 90°,則下述何種儀器誤差對水平角觀測誤差之影響為零?(A)視準軸偏心(B)度盤偏心 10 (C)視準軸未垂直橫軸之誤差(D)橫軸誤差。
62. 令:甲=「水準器」,乙=「目鏡或物鏡鏡片」,丙=「制動或微動螺旋」,丁=「調焦螺旋」。有一位測量 員直接用手抓炸雞吃,吃後尚未擦手即測量,他的手指碰到儀器何處會干擾測量工作?(A)全部都會(B)甲乙 丙(C)乙丙丁(D)丙丁甲。
63. 視差係於眼睛稍微上下移動時,發生讀數(例如水準尺讀數)改變之現象,其原因係目標(例如水準尺)未能成 像於(A)目鏡內表面(B)目鏡外表面(C)十字絲面(D)物鏡面。
64. 水準尺前後傾斜時,在水準尺上之讀數(A)不變(B)變小(C)變大(D)不一定。
65. 設經緯儀之指標差為零,正鏡天頂距讀數為 89°12'40",倒鏡觀測時,則其讀數為(A)269°12'30"(B)270°22'10"(C)2 70°47'20"(D)271°04'30"。
66. 測量垂直角時,正倒鏡觀測取平均可以消除(A)直立軸誤差(B)指標差(C)橫軸誤差(D)垂直度盤偏心誤差。
67. 令甲=「使目標清晰成像在十字絲面」,乙=「使十字絲清晰」,丙=「旋轉目鏡環」,丁=「旋轉調焦螺旋」, 則甲乙丙丁之正確排列為(A)甲乙丙丁(B)丁甲丙乙(C)丁乙丙甲(D)丙乙丁甲。
68. 假設水準尺直立,水準儀至前後視水準尺之距離均為 50 公尺,觀測前後水準尺時,發現水準管氣泡中心均 偏向物鏡端 1.1 格,該水準管靈敏度為 30"/格,則所求高程差之誤差為(A)8mm(B)0mm(C)-16mm(D)16mm。
69. 望遠鏡物鏡口徑為 4.0cm,分解力
,則該望遠鏡之分解力為(A)35"(B)3.5"(C)56"(D)560"。
70. 望遠鏡物鏡口徑為 4.0cm,將望遠鏡朝向明亮的白色牆壁,此時物鏡端之圓孔在目鏡鏡片上形成一個圓形亮 板,量其直徑得 1.5mm,則該望遠鏡之近似倍數為(A)6X(B)60X(C)2.7X(D)27X。
71. 經緯儀設置於 A 點,十字絲之上、中、下絲對 B 點標尺之讀數分別為 1.200m,0.900m,0.600m,垂直角為 仰角 30°00',視距乘常數為 100,加常數為 0,又設儀器高為 1.20m,B 點之標高為 100.00m,則 A 點之標高 為(A)126.28m(B)73.72m(C)113.14m(D)86.86m。
72. 經緯儀設置於 A 點,十字絲之上、中、下絲對 B 點標尺之讀數分別為 1.200m、0.900m、0.600m,垂直角為 仰角 30°00',視距乘常數為 100,加常數為 0,則 AB 之平距為(A)55.0m(B)50.0m(C)60.0m(D)45.0m。
73. 設 b 為標尺上下二覘標之間距,α1及 α2分別為上下覘標之俯仰角,求水平距離 D 之公式為
①
74. 直接水準測量時,已知A點之高程為 100.000m,若A點標尺讀數為 0.800m,B點標尺讀數為 1.050m,則B 點之高程為(A)101.850m(B)100.250m(C)99.750m(D)98.150m。
75. 已知 A 點高程為 62.00m,在 A 點整置電子測距經緯儀,儀器高 1.50m,照準 B 點覘標,得傾斜距離為 120. 000m,垂直角為俯角 15°00'00",覘標高為 1.40m,則 B 點高程為(A)29.95m(B)30.84m(C)31.04m(D)31.84m。
76. 採用橫距桿法測距時,橫距桿長為 2m,觀測水平角為 2°00'00",垂直角為 10°00',則水平距為(A)114.58m(B)5 7.29m(C)56.83m(D)56.42m。
77. 經緯儀天頂距倒鏡讀數 240°,則其垂直角為(A)俯角 60°(B)俯角 30°(C)仰角 60°(D)仰角 30°。
78. 水平角觀測時,由 A 點觀測 B 點,其正鏡讀數 26°14'34",倒鏡讀數 206°14'50";觀測 C 點,其正鏡讀數 69° 25'47"、倒鏡讀數 249°25'51",則∠BAC 等於(A)43°11'07"(B)43°11'17"(C)43°11'27"(D)43°11'37"。
79. 若兩點間距離為 200m,而兩點間高程差為 2m,則其坡度為(A)0.5%(B)1%(C)2%(D)10%。
80. 經緯儀觀測水平角之結果如下表,則水平角∠APB 之角度為
(A)70°53'20"(B)70°53'16"(C)70°53'14"(D)70°53'12"。
81. 以具有天頂距式縱角度盤的經緯儀,測得正鏡讀數為 91°15'56",倒鏡讀數為 268°44'40",則垂直角為(A)仰角 1°15'38"(B)仰角 1°15'48"(C)俯角 1°15'38"(D)俯角 1°15'48"。
82. 已知 A 點高程為 50.000m,在 A 點整置電子測距經緯儀,儀器高 1.500m,照準 B 點稜鏡,得傾斜距離為 85.000m,垂直角為仰角 5°10',覘標高為 1.450m,則 B 點高程為(A)57.705m(B)57.736m(C)58.705m(D)58.736m。 .
83. 在傾斜地作視距測量,設標尺夾距為 S,垂直角(俯仰角)為 α,K 為乘常數,C 為加常數,則水平距離 D 之計算公式為(A)D=K‧S‧sinα+C‧sinα(B)D=K‧S‧cos2α+C‧cosα(C)D=K‧S‧sinα‧cosα+C‧sinα(D) D=0.5K‧S‧sinα+C‧sinα。
84. 設經緯儀置於 A 點,儀器高為 1.50m,A 點高程為 50.00m,照準垂直豎立於 B 點之標尺,讀得夾距為 0.32 m,垂直角為仰角 5°,中絲在標尺上讀數為 1.40m,設 K=100;C=0,則 AB 之水平距離為(A)32.00m(B)31.89m (C)31.76m(D)29.00m。
85. 設經緯儀置於 A 點,儀器高為 1.50m,A 點高程為 50.00m,照準垂直豎立於 B 點之標尺,讀得夾距為 0.32 m,垂直角為仰角 5°,中絲在標尺上讀數為 1.40m,設 K=100;C=0,則 B 點高程為(A)52.88m(B)44.54m(C)44. 34m(D)55.46m。
86. 經緯儀設置於 A 點,十字絲之上、中、下絲對 B 點標尺之讀數分別為 1.2m、0.9m、0.6m,垂直角為+20°, 視距乘數為 100,加常數為 0,則 AB 之平距為(A)56m(B)53m(C)50m(D)47m。
87. 已知 B 點高程為 140.00m,整置經緯儀於 A 點,照準 B 點之覘標,測得垂直角為 10°(仰角),且儀器高等於 覘標高,AB 之水平距離為 80.00m,則 A 點之高程為(A)125.89m(B)126.11m(C)153.89m(D)154.11m。
88. 在等傾斜地上,用鋼卷尺直接量得 A、B 二點之斜距為 140.000m,已知 A、B 兩點之高程分別為 HA=50.000 m、HB=60.000m,則 A、B 二點間之水平距離為(A)139.642m(B)139.682m(C)139.722m(D)139.762m。
89. A、B 兩點水平距離 33.68m,於 A 點整置經緯儀,儀器高 1.450m,觀測 B 點之水準尺得中絲讀數 1.328m, 此時經緯儀仰角為 12°,則 B 點比 A 點高若干?(A)6.425m(B)7.958m(C)7.281m(D)6.084m。
90. 於 A、B 兩點間整置水準儀觀測,於點 A 正立水準尺得讀數為 1. 257m,於點 B 倒立水準尺得讀數為 3.275 m,若已知點 A 高 16.978m,則點 B 高程為(A)14.960m(B)21.510m(C)19.585m(D)15.271m。
91. 水準儀之整置須:(A)定平後再定心(B)定心後再定平(C)定心即可(D)定平即可。
92. 地表某點與水準基面之垂直距離,稱為(A)高程(B)標高差(C)海拔差(D)高程差。
93. 水準管軸垂直直立軸之檢定採用(A)定樁法(B)固定點檢驗(C)半半改正法(D)縱轉法。
94. 設 A 點之標高為 55.123m,B 點之標高為 60.145m,今自點 A 實施水準測量至點 B,得後視讀數總和為 5.43 2m,前視讀數總和為 0.422m,則水準閉合差為(A)-0.012m(B)+0.012m(C)+0.011m(D)-0.011m。
95. 水準儀定樁法主要目的在校正(A)水準管軸是否垂直直立軸(B)橫十字絲是否水平(C)視準軸是否平行於水準管 軸(D)氣泡是否居中。
96. 於測站 B 整置經緯儀,對測點 A、C 做水平角觀測,觀測記錄如下表,則∠CBA 為
(A)125°10'10"(B)234°49' 45 "(C)125°10' 15"(D)234°10' 25"。
97. 整置經緯儀於 A 點,照準 B 點之覘標,測得垂直角為 45°,且儀器高等於覘標高,A、B 之水平距離為 120. 678 公尺,A 點高程為 69.785 公尺,則 B 點之高程為(A)200.643 公尺(B)190.463 公尺(C)220.135 公尺(D)2100.876 公尺。
98. 以測站 P 對測點 A 之實測資料值如下表,點 A 高程值為
(A)24.353m(B)24.551m(C)24.534m(D)24.371m。
99. 以測站 S 對測點 B 之實測資料值如下表,點 B 高程值為
(A)25.151m(B)25.708m(C)25.511m(D)25.779m。
100. 在 A 點向 B 點實施三角高程測量,A 點之儀器高為 i,A、B 之水平距離為 D,B 點之覘標高為 Z,觀測之 12 垂直角為 α,則 A、B 兩點之高程差為(A)D×tanα+i+Z(B)D×tanα+i-Z(C)D×tanα-i-Z(D)D×tanα-i+Z。
申論題 (0)
相關試卷
114年 - 04202 測量─工程測量 乙級 工作項目 06:儀器檢校 1-57(2025/10/28 更新)#132667
114年 · #132667
114年 - 04202 測量─工程測量 乙級 工作項目 05:應用測量 101-143(2025/10/28 更新)#132666
114年 · #132666
114年 - 04202 測量─工程測量 乙級 工作項目 05:應用測量 51-100(2025/10/28 更新)#132665
114年 · #132665
114年 - 04202 測量─工程測量 乙級 工作項目 05:應用測量 1-50(2025/10/28 更新)#132664
114年 · #132664
114年 - 04202 測量─工程測量 乙級 工作項目 04:地形測量 51-101(2025/10/28 更新)#132663
114年 · #132663
114年 - 04202 測量─工程測量 乙級 工作項目 04:地形測量 1-50(2025/10/28 更新)#132662
114年 · #132662
114年 - 04202 測量─工程測量 乙級 工作項目 03:控制測量 151-202(2025/10/28 更新)#132661
114年 · #132661
114年 - 04202 測量─工程測量 乙級 工作項目 03:控制測量 101-150(2025/10/28 更新)#132660
114年 · #132660
114年 - 04202 測量─工程測量 乙級 工作項目 03:控制測量 51-100(2025/10/28 更新)#132659
114年 · #132659
114年 - 04202 測量─工程測量 乙級 工作項目 03:控制測量 1-50(2025/10/28 更新)#132658
114年 · #132658