所屬科目:機械設計
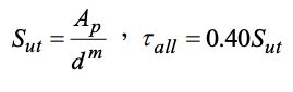
(二)以最大剪應力理論,該軸的設計安全因子(safety factor) ns 為若干?【15 分】
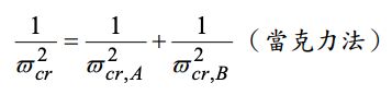
(一)以當克力法(Dunkerley method)解該軸的最低危險速度(first critical speed)為若干 rpm?【15 分】提示: